🇳🇴 🇬🇧 🇩🇪 🇨🇿 🇫🇮

Meteor über Falkhytta 2020-05-03 23:39:11 UTC

Larvik – 1
Larvik – 1
Trondheim – 1
Trondheim – 1

KML-Datei  | Interaktive Karte

map

Die Karte zeigt die Peilungen für den Meteor. Die helleren Linien zeigen die Richtungen von den Beobachtungsorten beim Erscheinen des Meteors, und die dunkleren Linien, wo er zuletzt gesehen wurde. Der blaue Pfeil zeigt die sichtbare Bahn des Meteors.

height profile
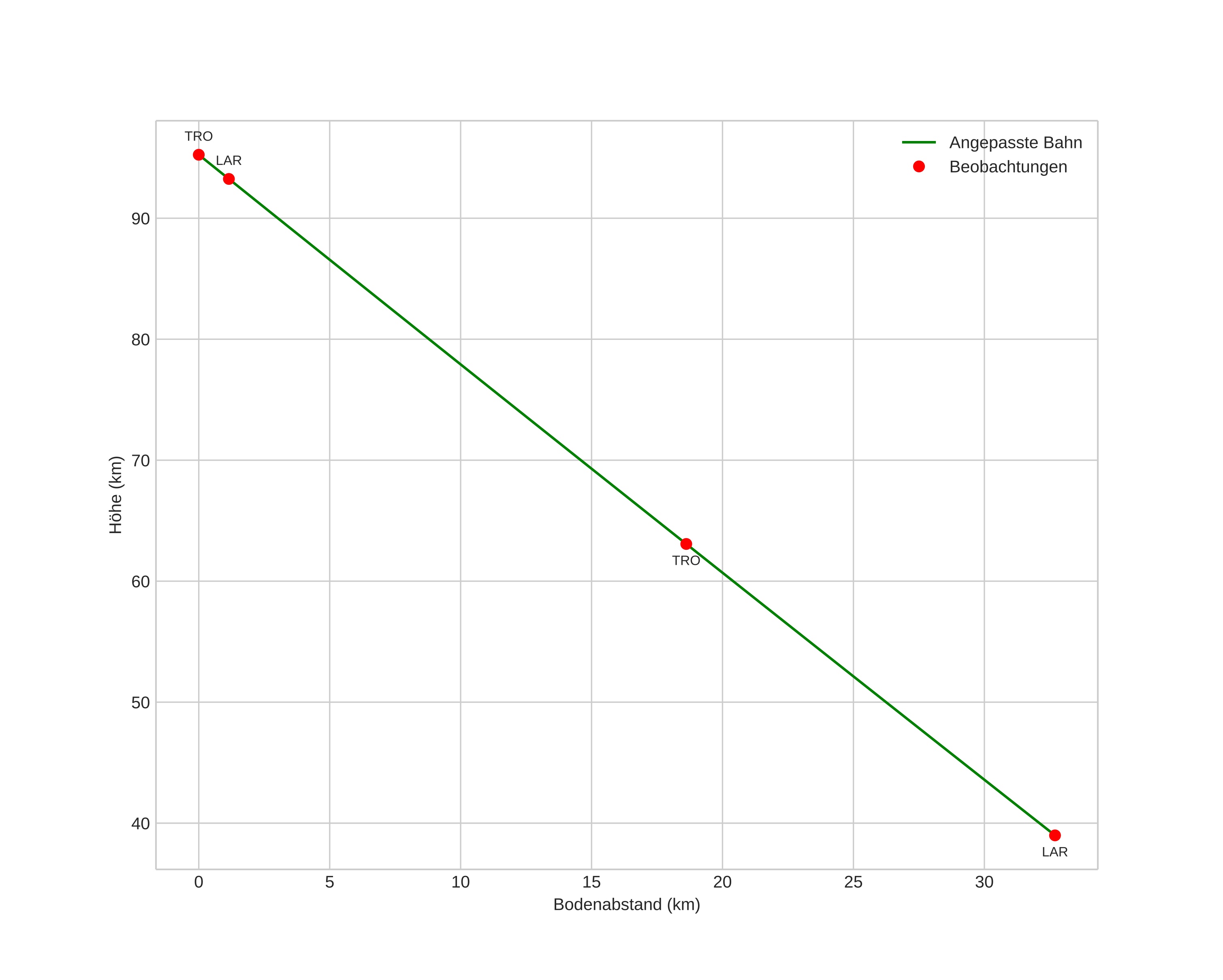
Atmosphärische Bahn des Meteors:
Anfangshöhe: 95,6 km
Endhöhe: 49,0 km
Startposition: 63,875N 7,028E
Endposition: 63,811N 6,478E
Richtung: 255,6°
Neigungswinkel: 59,1°
Eintrittsgeschwindigkeit: 33,2 km/s
Rektaszension des Radianten: 19:07 (286,9°)
Deklination des Radianten: 55,3°
Meteorstrom: sporadisch
Bahnelemente des Meteoroiden:
Periheldistanz: 1,008 AU
Exzentrizität: 0,593
Inklination: 53,8°
Länge des aufsteigenden Knotens: 43,7°
Argument des Perihels: 178,2°
Mittlere Anomalie: 0,4°
Epoche: 2020 MAY 03 23:39:11
orbit

Nicht-interaktives Diagramm | Interaktives Diagramm

position vs time
speed & acceleration