🇳🇴 🇬🇧 🇩🇪 🇨🇿 🇫🇮

Meteor, poloha: Kragerø 2020-05-05 00:19:19 UTC

Soubor KML  |  InteraktivnĂ­ mapa

Mapa zobrazuje dráhy meteoru. Světlejší čáry ukazují směry od pozorovacích stanic při objevení se meteoru a tmavší čáry, kde byl naposledy viděn. Modrá šipka značí viditelnou dráhu meteoru.

static map
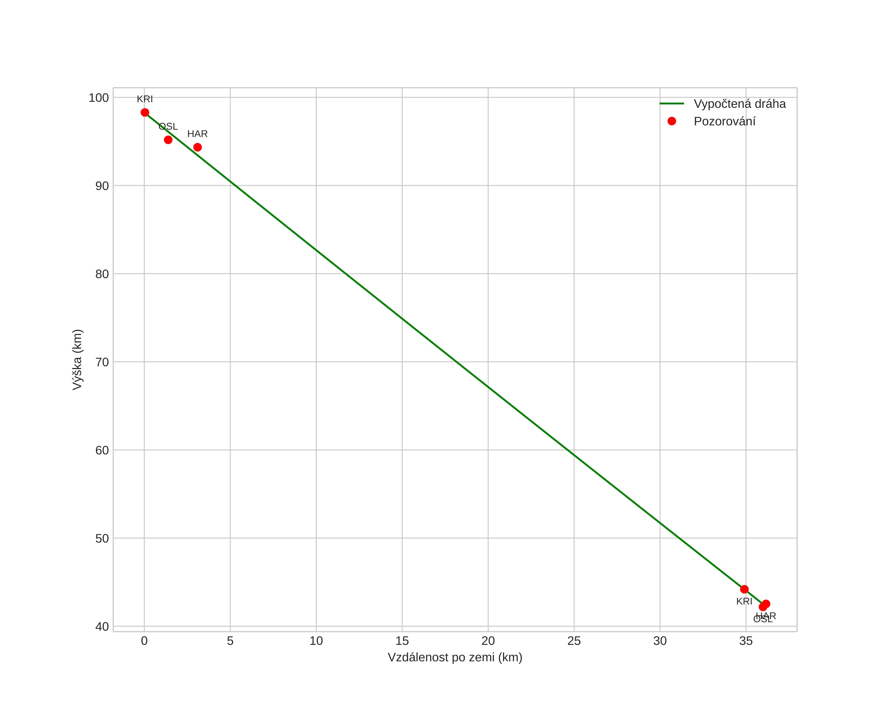
height profile
Atmosférická dráha meteoru:
Počáteční výška: 96,9 km
Konečná výška: 42,6 km
Počáteční poloha: 58,568N 10,272E
Konečná poloha: 58,596N 9,665E
Směr: 275,4°
Sklon: 57,0°
VstupnĂ­ rychlost: 40,3 km/s
Rektascenze radiantu: 19:07 (286,9°)
Deklinace radiantu: 43,1°
Meteorický roj: Éta Lyridy
Elementy dráhy meteoroidu:
Vzdálenost v periheliu: 0,995 AU
Excentricita: 0,622
Sklon dráhy: 68,7°
Délka vzestupného uzlu: 44,7°
Argument perihelia: 195,1°
Střední anomálie: 357,2°
Epocha: 2020 MAY 05 00:19:19
orbit plot

NeinteraktivnĂ­ graf | InteraktivnĂ­ graf

position vs time
speed and acceleration