🇳🇴 🇬🇧 🇩🇪 🇨🇿 🇫🇮

Meteor Kragerøin yllä 2020-05-05 00:19:19 UTC

KML-tiedosto  |  Interaktiivinen kartta

Kartta näyttää meteorin suuntahavainnot. Vaaleammat viivat näyttävät suunnat havaintoasemilta meteorin ilmestyessä, ja tummemmat viivat näyttävät, missä se viimeksi nähtiin. Sininen nuoli näyttää meteorin näkyvän lennon.

static map
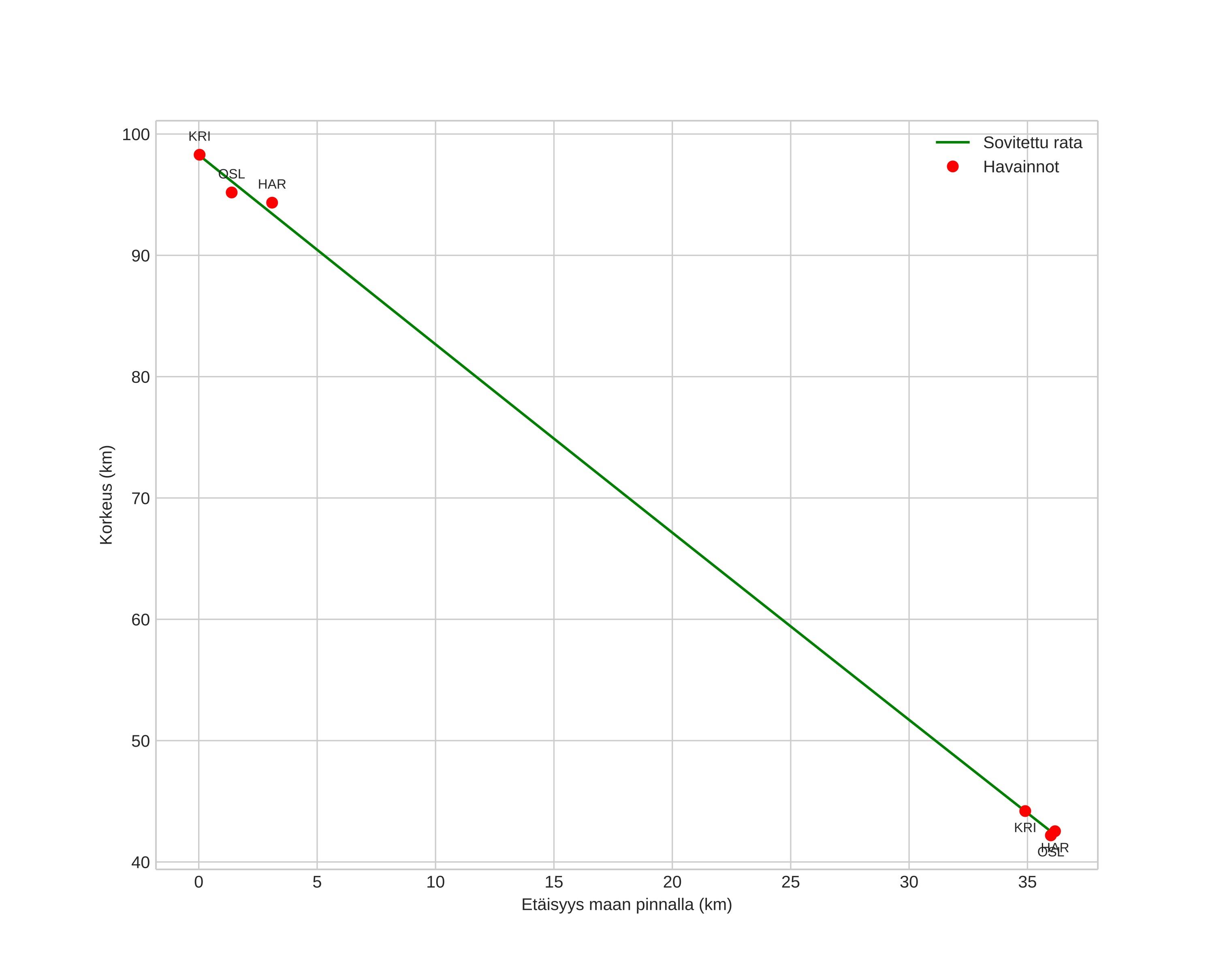
height profile
Meteorin ilmakehärata:
Alkukorkeus: 96,9 km
Loppukorkeus: 42,6 km
Alkupiste: 58,568N 10,272E
Loppupiste: 58,596N 9,665E
Suunta: 275,4°
Kallistuskulma: 57,0°
Tulonopeus: 40,3 km/s
Radiantin R,A,: 19:07 (286,9°)
Radiantin Dekl,: 43,1°
Meteoriparvi: Eta-lyridit
Meteoroidin rataelementit:
Perihelietäisyys: 0,995 AU
Eksentrisyys: 0,622
Inklinaatio: 68,7°
Nousevan solmun pituus: 44,7°
Perihelin argumentti: 195,1°
Keskianomalia: 357,2°
Epookki: 2020 MAY 05 00:19:19
orbit plot

Ei-interaktiivinen kuvaaja | Interaktiivinen kuvaaja

position vs time
speed and acceleration