🇳🇴 🇬🇧 🇩🇪 🇨🇿 🇫🇮

Meteor, poloha: Fritsla 2020-05-05 22:40:33 UTC

Soubor KML  |  InteraktivnĂ­ mapa

Mapa zobrazuje dráhy meteoru. Světlejší čáry ukazují směry od pozorovacích stanic při objevení se meteoru a tmavší čáry, kde byl naposledy viděn. Modrá šipka značí viditelnou dráhu meteoru.

static map
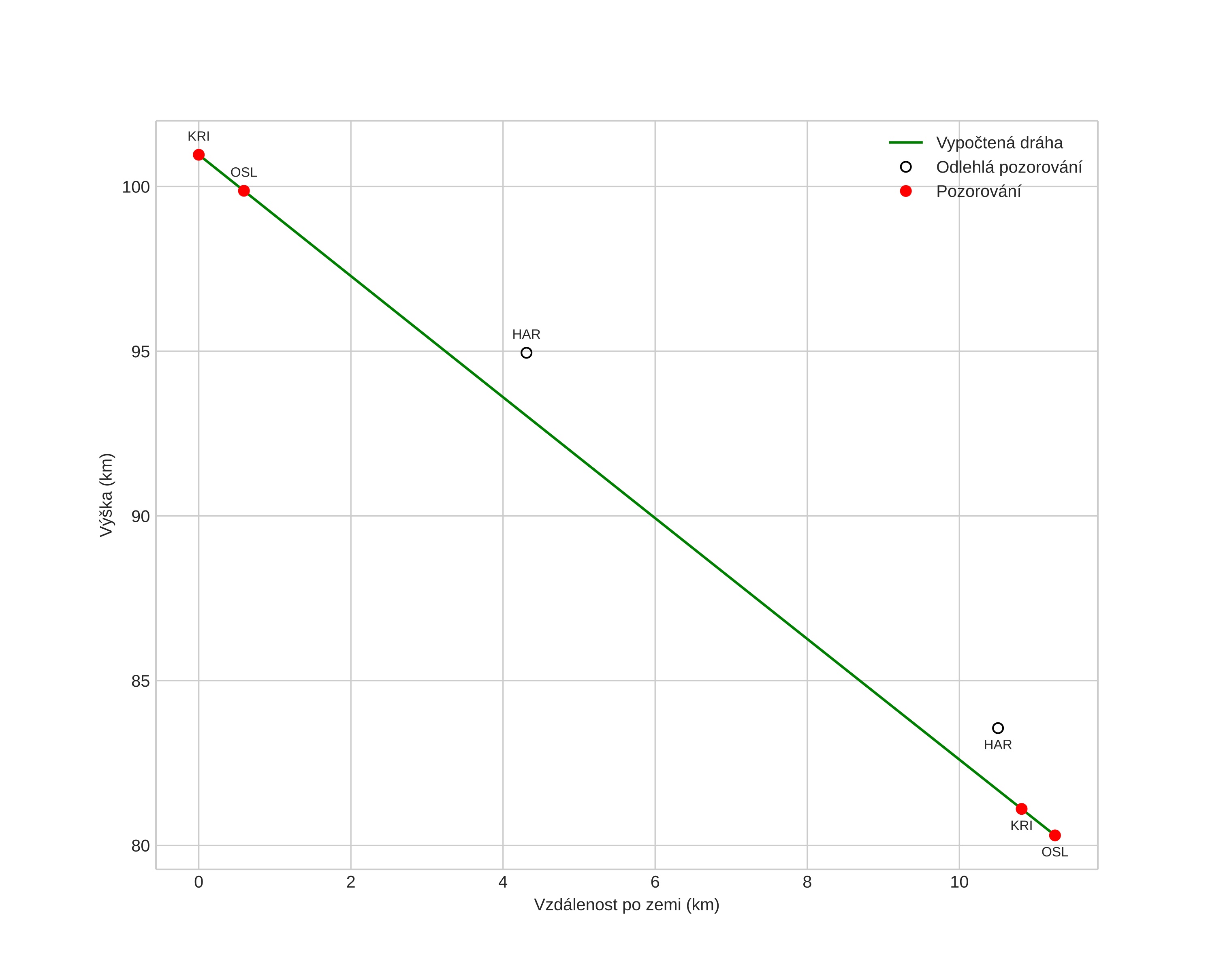
height profile
Atmosférická dráha meteoru:
Počáteční výška: 99,4 km
Konečná výška: 76,0 km
Počáteční poloha: 57,619N 12,908E
Konečná poloha: 57,503N 12,912E
Směr: 178,8°
Sklon: 61,1°
VstupnĂ­ rychlost: 22,9 km/s
Rektascenze radiantu: 11:59 (179,8°)
Deklinace radiantu: 88,0°
MeteorickĂ˝ roj: sporadickĂ˝
Elementy dráhy meteoroidu:
Vzdálenost v periheliu: 0,988 AU
Excentricita: 0,861
Sklon dráhy: 27,3°
Délka vzestupného uzlu: 45,6°
Argument perihelia: 162,7°
Střední anomálie: 0,7°
Epocha: 2020 MAY 05 22:40:33
orbit plot

NeinteraktivnĂ­ graf | InteraktivnĂ­ graf

position vs time
speed and acceleration