🇳🇴 🇬🇧 🇩🇪 🇨🇿 🇫🇮

Meteor Fritslan yllä 2020-05-05 22:40:33 UTC

KML-tiedosto  |  Interaktiivinen kartta

Kartta näyttää meteorin suuntahavainnot. Vaaleammat viivat näyttävät suunnat havaintoasemilta meteorin ilmestyessä, ja tummemmat viivat näyttävät, missä se viimeksi nähtiin. Sininen nuoli näyttää meteorin näkyvän lennon.

static map
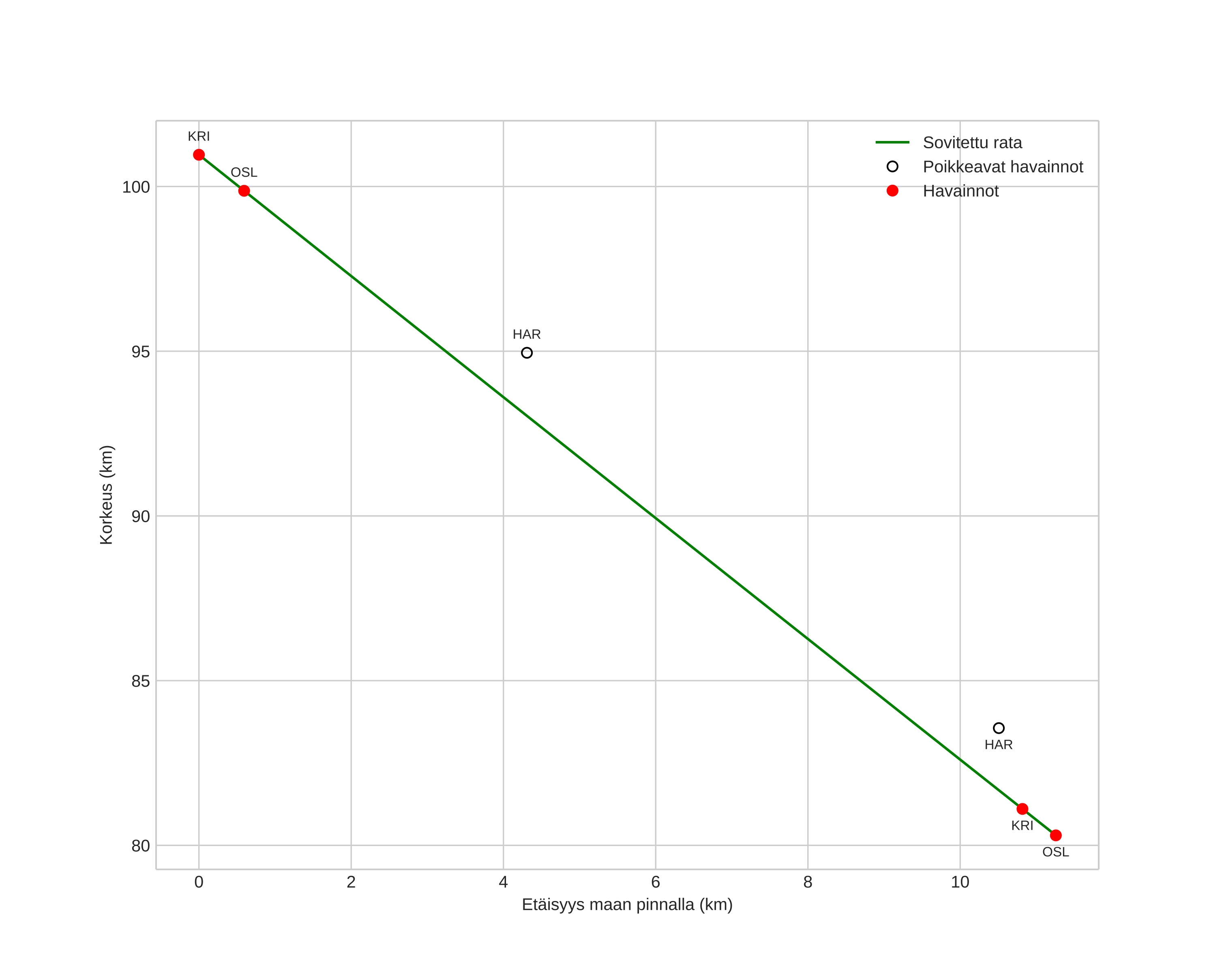
height profile
Meteorin ilmakehärata:
Alkukorkeus: 99,4 km
Loppukorkeus: 76,0 km
Alkupiste: 57,619N 12,908E
Loppupiste: 57,503N 12,912E
Suunta: 178,8°
Kallistuskulma: 61,1°
Tulonopeus: 22,9 km/s
Radiantin R,A,: 11:59 (179,8°)
Radiantin Dekl,: 88,0°
Meteoriparvi: Sporadinen
Meteoroidin rataelementit:
Perihelietäisyys: 0,988 AU
Eksentrisyys: 0,861
Inklinaatio: 27,3°
Nousevan solmun pituus: 45,6°
Perihelin argumentti: 162,7°
Keskianomalia: 0,7°
Epookki: 2020 MAY 05 22:40:33
orbit plot

Ei-interaktiivinen kuvaaja | Interaktiivinen kuvaaja

position vs time
speed and acceleration