🇳🇴 🇬🇧 🇩🇪 🇨🇿 🇫🇮

Meteor, poloha: VĂĄler 2020-05-06 23:02:21 UTC

Soubor KML  |  InteraktivnĂ­ mapa

Mapa zobrazuje dráhy meteoru. Světlejší čáry ukazují směry od pozorovacích stanic při objevení se meteoru a tmavší čáry, kde byl naposledy viděn. Modrá šipka značí viditelnou dráhu meteoru.

static map
height profile
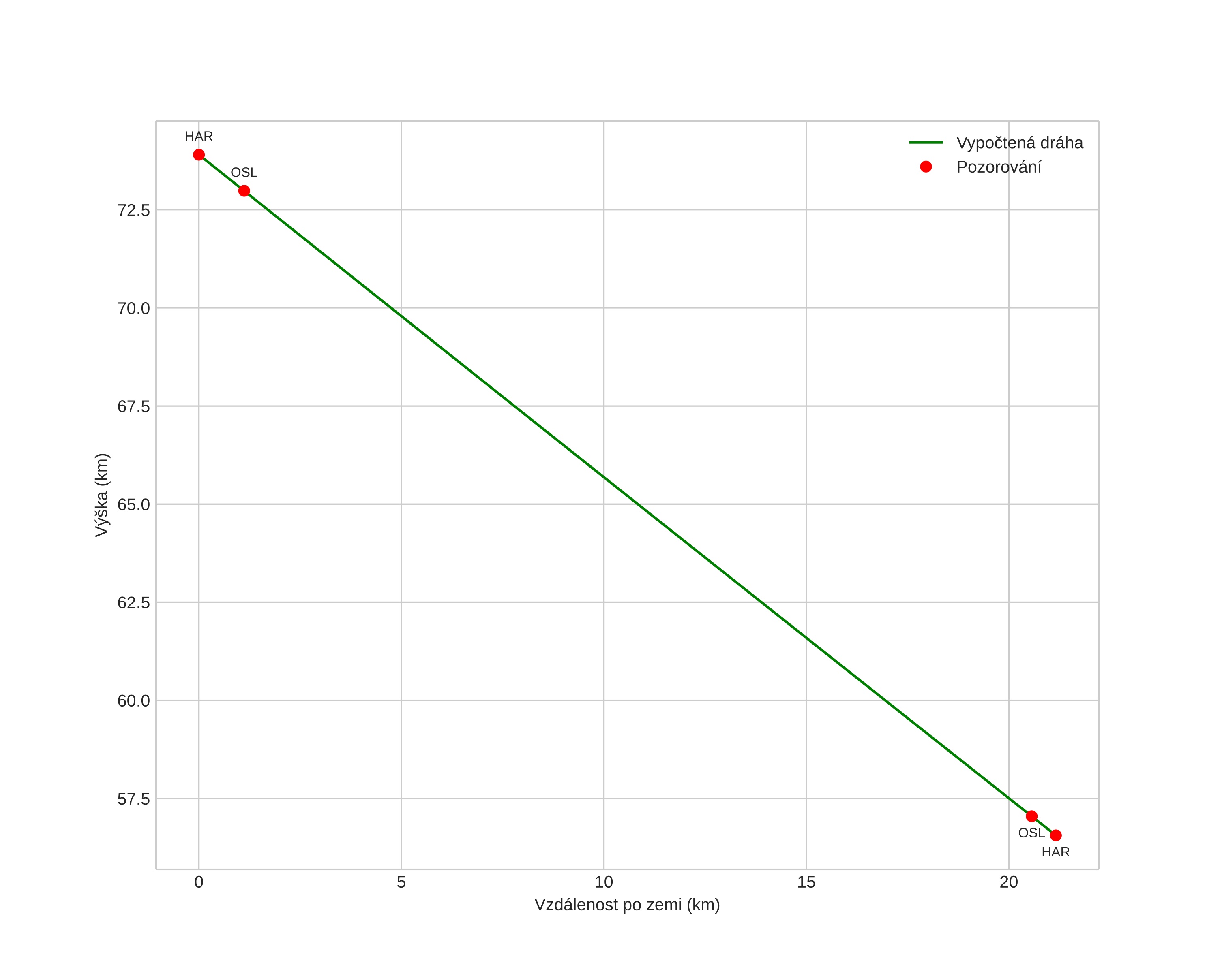
Atmosférická dráha meteoru:
Počáteční výška: 76,5 km
Konečná výška: 60,1 km
Počáteční poloha: 60,696N 11,441E
Konečná poloha: 60,720N 11,881E
Směr: 83,5°
Sklon: 34,3°
VstupnĂ­ rychlost: 13,2 km/s
Rektascenze radiantu: 09:42 (145,7°)
Deklinace radiantu: 11,3°
MeteorickĂ˝ roj: sporadickĂ˝
Elementy dráhy meteoroidu:
Vzdálenost v periheliu: 1,009 AU
Excentricita: 0,551
Sklon dráhy: 0,5°
Délka vzestupného uzlu: 226,4°
Argument perihelia: 2,7°
Střední anomálie: 359,4°
Epocha: 2020 MAY 06 23:02:21
orbit plot

NeinteraktivnĂ­ graf | InteraktivnĂ­ graf

position vs time
speed and acceleration