🇳🇴 🇬🇧 🇩🇪 🇨🇿 🇫🇮

Meteor über Våler 2020-05-06 23:02:21 UTC

KML-Datei  |  Interaktive Karte

Die Karte zeigt die Peilungen für den Meteor. Die helleren Linien zeigen die Richtungen von den Beobachtungsorten beim Erscheinen des Meteors, und die dunkleren Linien, wo er zuletzt gesehen wurde. Der blaue Pfeil zeigt die sichtbare Bahn des Meteors.

static map
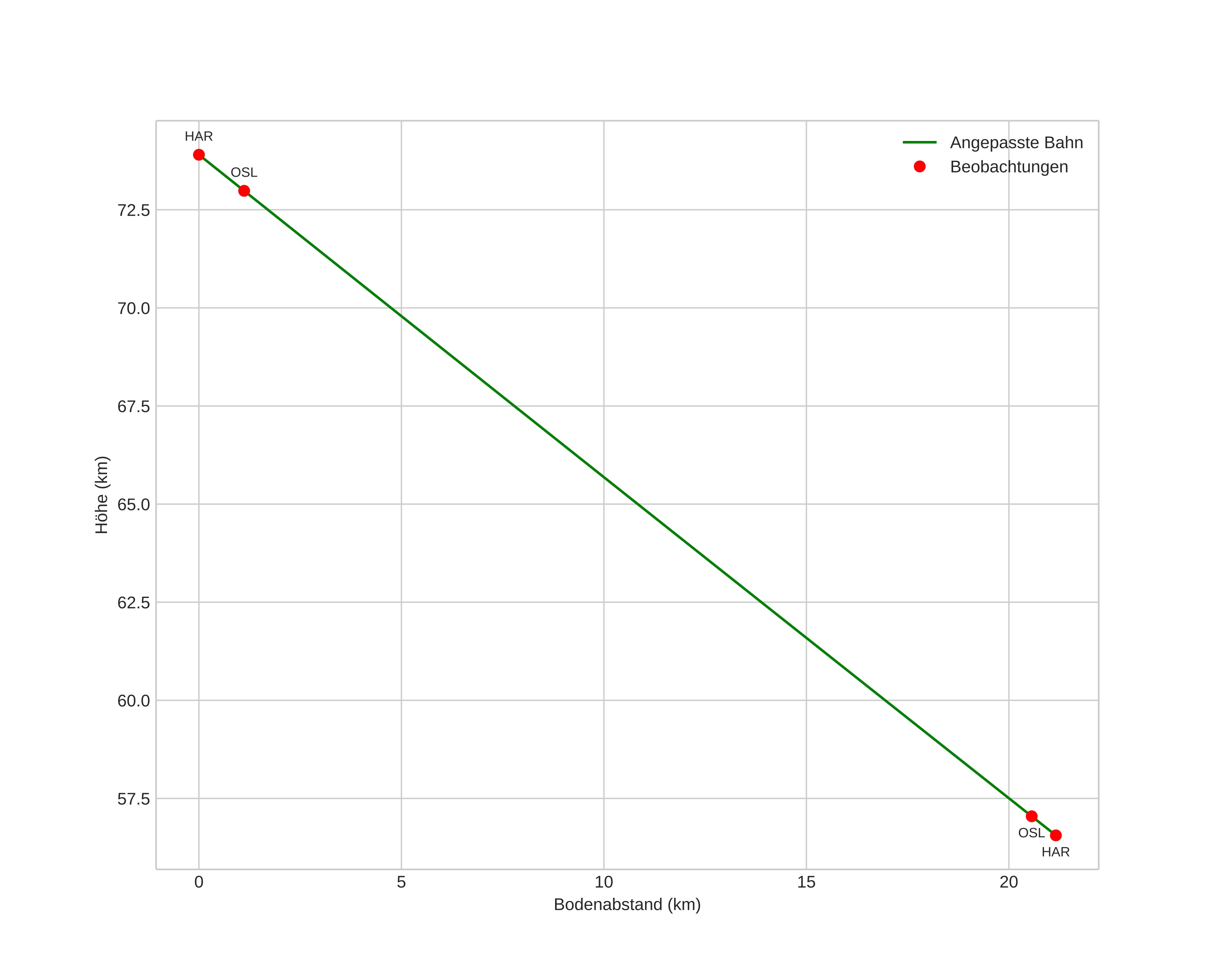
height profile
Atmosphärische Bahn des Meteors:
Anfangshöhe: 76,5 km
Endhöhe: 60,1 km
Startposition: 60,696N 11,441E
Endposition: 60,720N 11,881E
Richtung: 83,5°
Neigungswinkel: 34,3°
Eintrittsgeschwindigkeit: 13,2 km/s
Rektaszension des Radianten: 09:42 (145,7°)
Deklination des Radianten: 11,3°
Meteorstrom: sporadisch
Bahnelemente des Meteoroiden:
Periheldistanz: 1,009 AU
Exzentrizität: 0,551
Inklination: 0,5°
Länge des aufsteigenden Knotens: 226,4°
Argument des Perihels: 2,7°
Mittlere Anomalie: 359,4°
Epoche: 2020 MAY 06 23:02:21
orbit plot

Nicht-interaktives Diagramm | Interaktives Diagramm

position vs time
speed and acceleration