🇳🇴 🇬🇧 🇩🇪 🇨🇿 🇫🇮

Meteor, poloha: Mellerud 2020-05-09 00:23:43 UTC

Soubor KML  |  InteraktivnĂ­ mapa

Mapa zobrazuje dráhy meteoru. Světlejší čáry ukazují směry od pozorovacích stanic při objevení se meteoru a tmavší čáry, kde byl naposledy viděn. Modrá šipka značí viditelnou dráhu meteoru.

static map
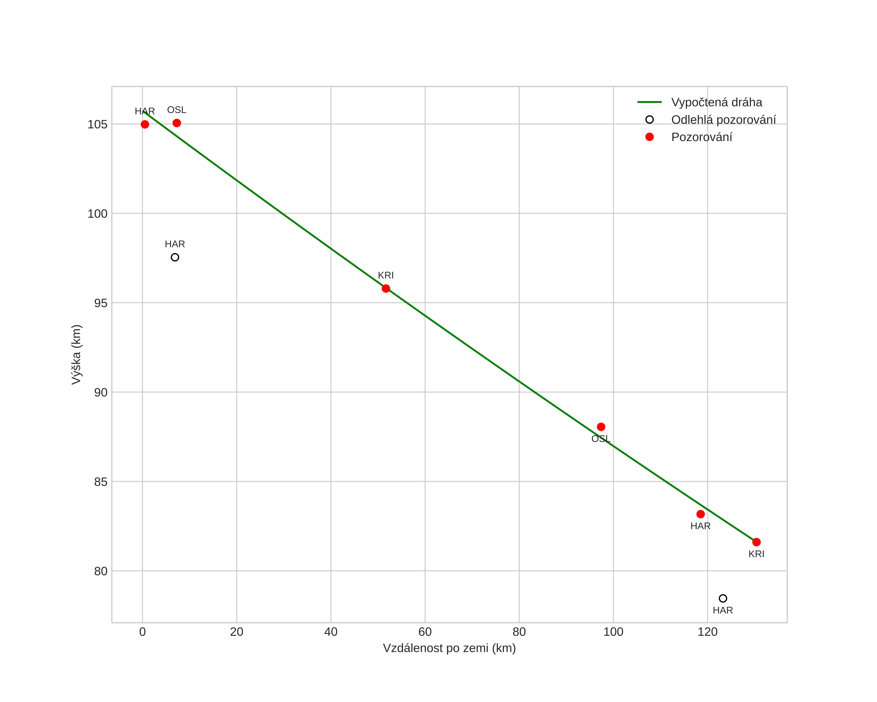
height profile
Atmosférická dráha meteoru:
Počáteční výška: 98,5 km
Konečná výška: 76,7 km
Počáteční poloha: 57,690N 12,869E
Konečná poloha: 58,722N 12,555E
Směr: 351,0°
Sklon: 10,6°
VstupnĂ­ rychlost: 50,4 km/s
Rektascenze radiantu: 16:59 (255,0°)
Deklinace radiantu: -22,5°
MeteorickĂ˝ roj: sporadickĂ˝
Elementy dráhy meteoroidu:
Vzdálenost v periheliu: 0,026 AU
Excentricita: 1,004
Sklon dráhy: 1,9°
Délka vzestupného uzlu: 48,6°
Argument perihelia: 340,7°
Střední anomálie: -1,9°
Epocha: 2020 MAY 09 00:23:43
orbit plot

NeinteraktivnĂ­ graf | InteraktivnĂ­ graf

position vs time
speed and acceleration