🇳🇴 🇬🇧 🇩🇪 🇨🇿 🇫🇮

Meteor Mellerudin yllä 2020-05-09 00:23:43 UTC

KML-tiedosto  |  Interaktiivinen kartta

Kartta näyttää meteorin suuntahavainnot. Vaaleammat viivat näyttävät suunnat havaintoasemilta meteorin ilmestyessä, ja tummemmat viivat näyttävät, missä se viimeksi nähtiin. Sininen nuoli näyttää meteorin näkyvän lennon.

static map
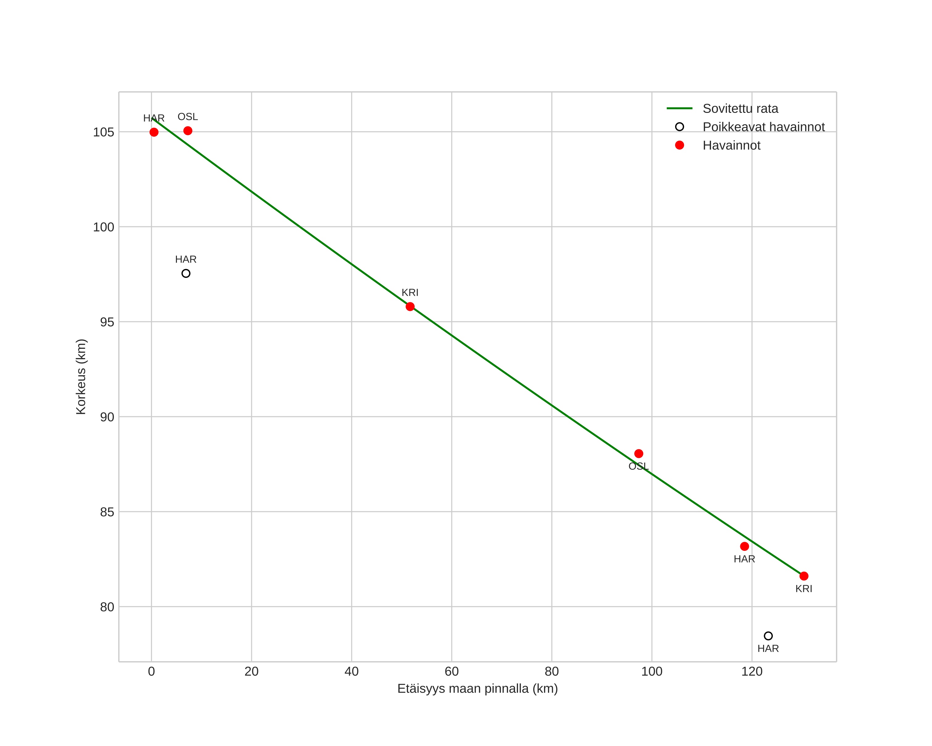
height profile
Meteorin ilmakehärata:
Alkukorkeus: 98,5 km
Loppukorkeus: 76,7 km
Alkupiste: 57,690N 12,869E
Loppupiste: 58,722N 12,555E
Suunta: 351,0°
Kallistuskulma: 10,6°
Tulonopeus: 50,4 km/s
Radiantin R,A,: 16:59 (255,0°)
Radiantin Dekl,: -22,5°
Meteoriparvi: Sporadinen
Meteoroidin rataelementit:
Perihelietäisyys: 0,026 AU
Eksentrisyys: 1,004
Inklinaatio: 1,9°
Nousevan solmun pituus: 48,6°
Perihelin argumentti: 340,7°
Keskianomalia: -1,9°
Epookki: 2020 MAY 09 00:23:43
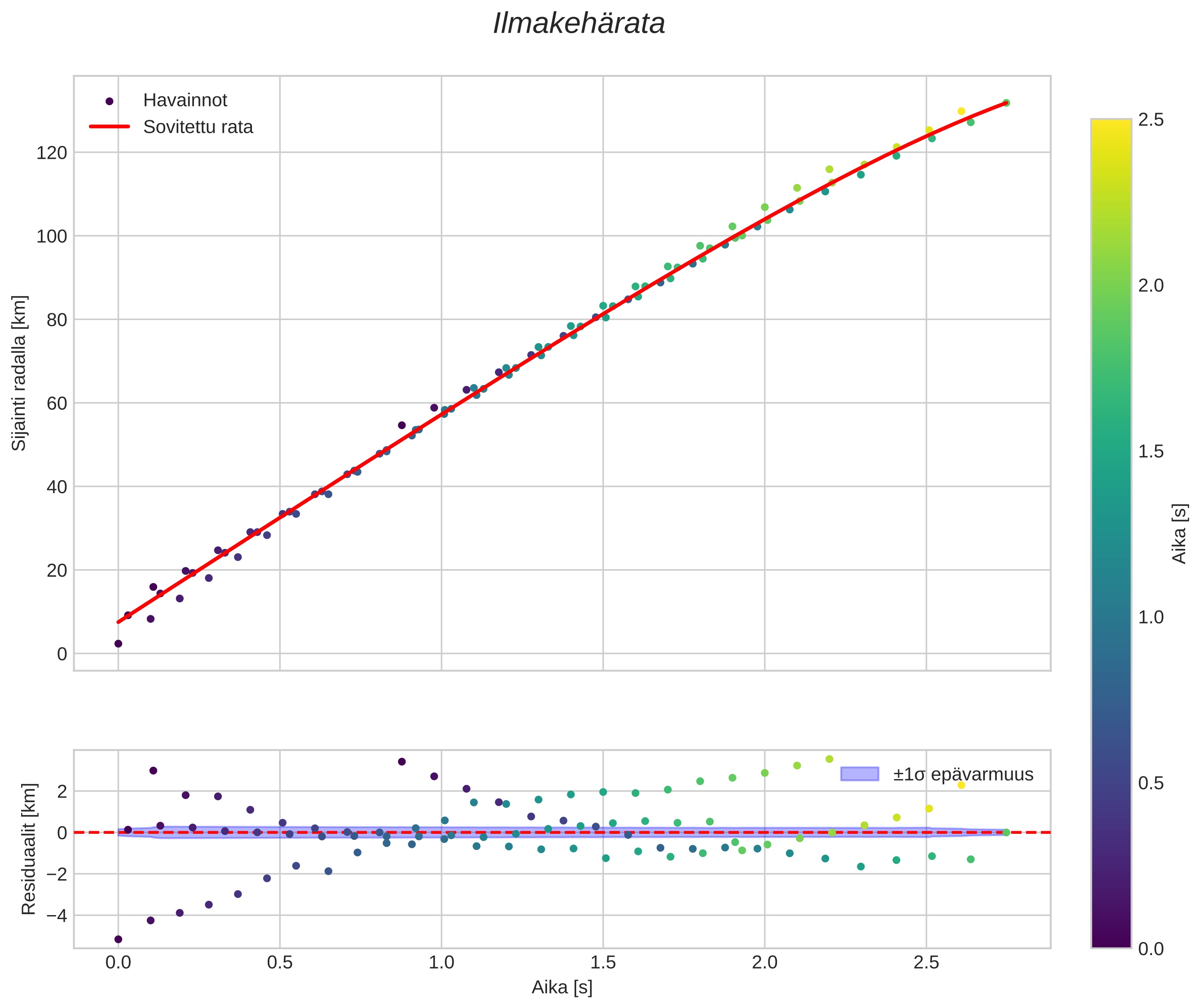
orbit plot

Ei-interaktiivinen kuvaaja | Interaktiivinen kuvaaja

position vs time
speed and acceleration