🇳🇴 🇬🇧 🇩🇪 🇨🇿 🇫🇮

Meteor, poloha: Vestbygd 2020-05-30 22:17:23 UTC

Soubor KML  |  InteraktivnĂ­ mapa

Mapa zobrazuje dráhy meteoru. Světlejší čáry ukazují směry od pozorovacích stanic při objevení se meteoru a tmavší čáry, kde byl naposledy viděn. Modrá šipka značí viditelnou dráhu meteoru.

static map
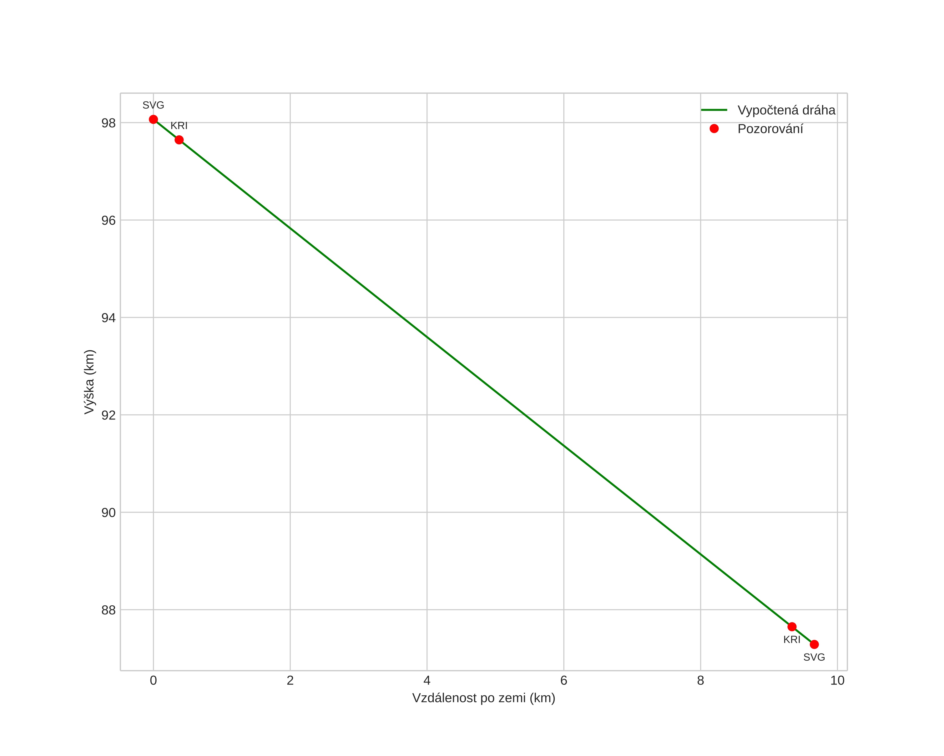
height profile
Atmosférická dráha meteoru:
Počáteční výška: 98,2 km
Konečná výška: 86,2 km
Počáteční poloha: 56,442N 5,707E
Konečná poloha: 56,504N 5,571E
Směr: 309,2°
Sklon: 47,9°
VstupnĂ­ rychlost: 38,0 km/s
Rektascenze radiantu: 17:31 (262,9°)
Deklinace radiantu: 21,7°
MeteorickĂ˝ roj: sporadickĂ˝
Elementy dráhy meteoroidu:
Vzdálenost v periheliu: 0,693 AU
Excentricita: 1,096
Sklon dráhy: 46,3°
Délka vzestupného uzlu: 69,7°
Argument perihelia: 246,8°
Střední anomálie: -1,8°
Epocha: 2020 MAY 30 22:17:23
orbit plot

NeinteraktivnĂ­ graf | InteraktivnĂ­ graf

position vs time
speed and acceleration