🇳🇴 🇬🇧 🇩🇪 🇨🇿 🇫🇮

Meteor Vestbygdin yllä 2020-05-30 22:17:23 UTC

KML-tiedosto  |  Interaktiivinen kartta

Kartta näyttää meteorin suuntahavainnot. Vaaleammat viivat näyttävät suunnat havaintoasemilta meteorin ilmestyessä, ja tummemmat viivat näyttävät, missä se viimeksi nähtiin. Sininen nuoli näyttää meteorin näkyvän lennon.

static map
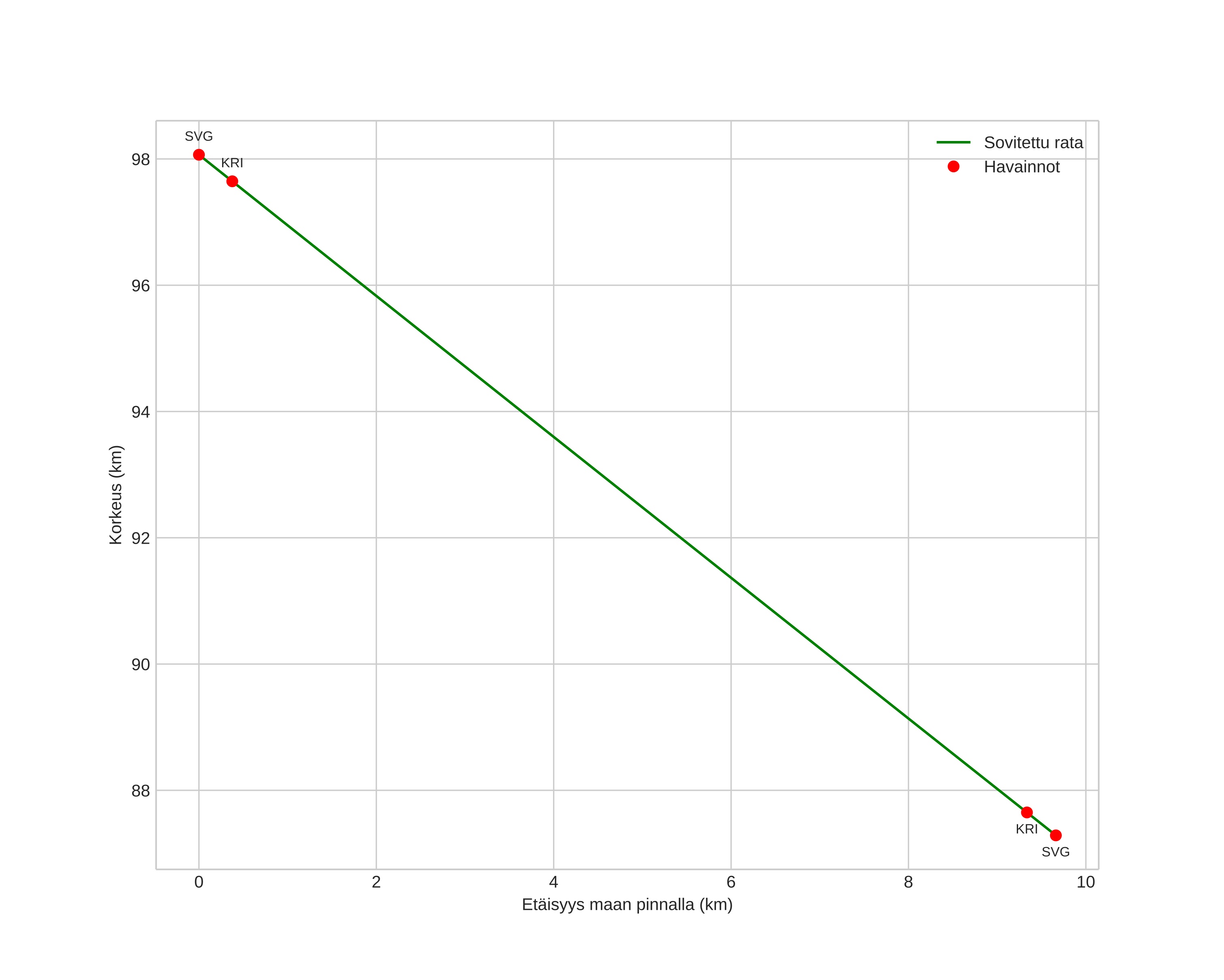
height profile
Meteorin ilmakehärata:
Alkukorkeus: 98,2 km
Loppukorkeus: 86,2 km
Alkupiste: 56,442N 5,707E
Loppupiste: 56,504N 5,571E
Suunta: 309,2°
Kallistuskulma: 47,9°
Tulonopeus: 38,0 km/s
Radiantin R,A,: 17:31 (262,9°)
Radiantin Dekl,: 21,7°
Meteoriparvi: Sporadinen
Meteoroidin rataelementit:
Perihelietäisyys: 0,693 AU
Eksentrisyys: 1,096
Inklinaatio: 46,3°
Nousevan solmun pituus: 69,7°
Perihelin argumentti: 246,8°
Keskianomalia: -1,8°
Epookki: 2020 MAY 30 22:17:23
orbit plot

Ei-interaktiivinen kuvaaja | Interaktiivinen kuvaaja

position vs time
speed and acceleration