🇳🇴 🇬🇧 🇩🇪 🇨🇿 🇫🇮

Meteor, poloha: Ă…mot 2020-07-22 22:40:57 UTC

Soubor KML  |  InteraktivnĂ­ mapa

Mapa zobrazuje dráhy meteoru. Světlejší čáry ukazují směry od pozorovacích stanic při objevení se meteoru a tmavší čáry, kde byl naposledy viděn. Modrá šipka značí viditelnou dráhu meteoru.

static map
height profile
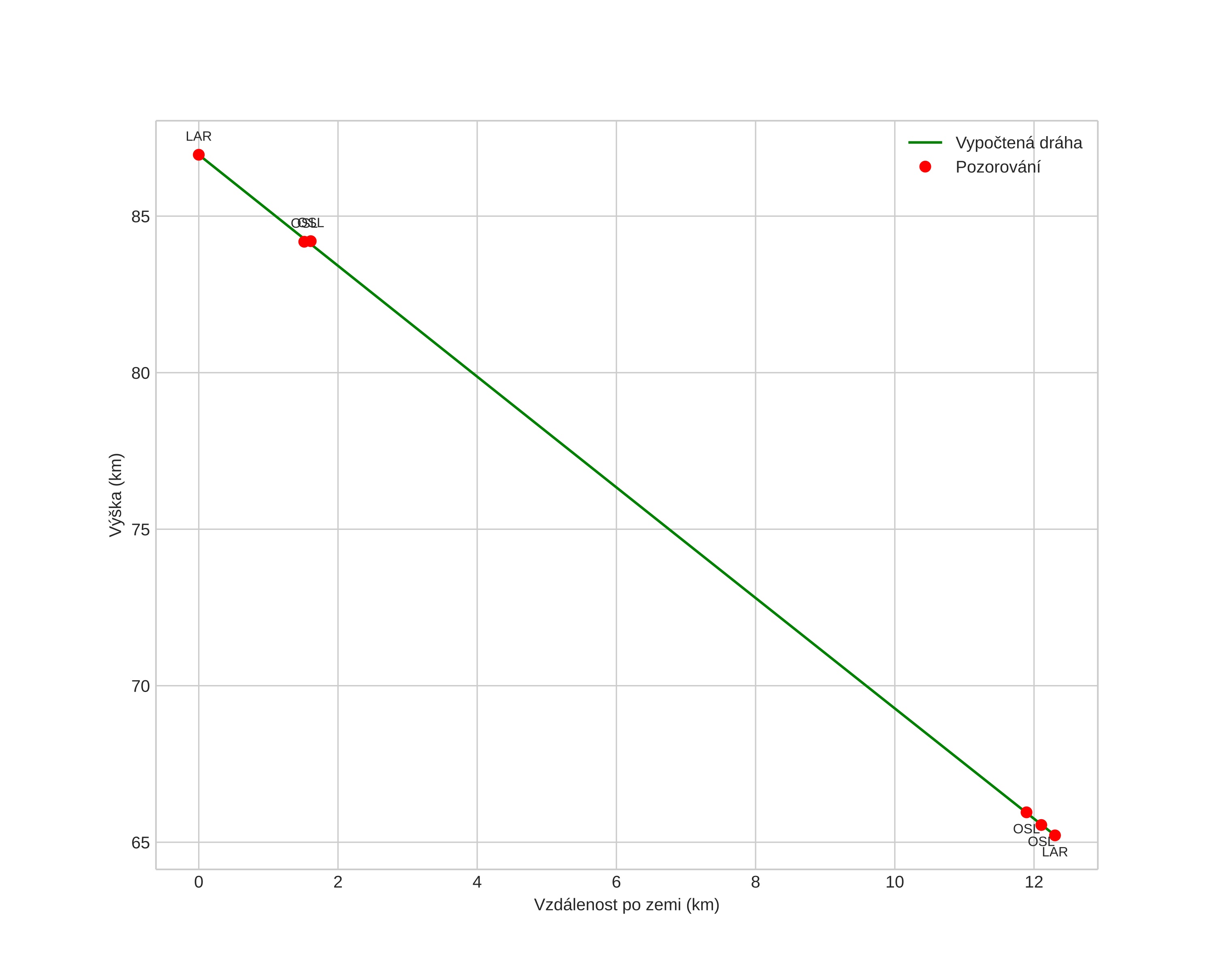
Atmosférická dráha meteoru:
Počáteční výška: 89,1 km
Konečná výška: 65,6 km
Počáteční poloha: 59,614N 7,715E
Konečná poloha: 59,576N 7,943E
Směr: 108,0°
Sklon: 60,1°
VstupnĂ­ rychlost: 19,9 km/s
Rektascenze radiantu: 15:08 (227,1°)
Deklinace radiantu: 53,6°
MeteorickĂ˝ roj: sporadickĂ˝
Elementy dráhy meteoroidu:
Vzdálenost v periheliu: 1,013 AU
Excentricita: 0,737
Sklon dráhy: 23,0°
Délka vzestupného uzlu: 120,3°
Argument perihelia: 172,7°
Střední anomálie: 0,7°
Epocha: 2020 JUL 22 22:40:57
orbit plot

NeinteraktivnĂ­ graf | InteraktivnĂ­ graf

position vs time
speed and acceleration