🇳🇴 🇬🇧 🇩🇪 🇨🇿 🇫🇮

Meteor Åmotin yllä 2020-07-22 22:40:57 UTC

KML-tiedosto  |  Interaktiivinen kartta

Kartta näyttää meteorin suuntahavainnot. Vaaleammat viivat näyttävät suunnat havaintoasemilta meteorin ilmestyessä, ja tummemmat viivat näyttävät, missä se viimeksi nähtiin. Sininen nuoli näyttää meteorin näkyvän lennon.

static map
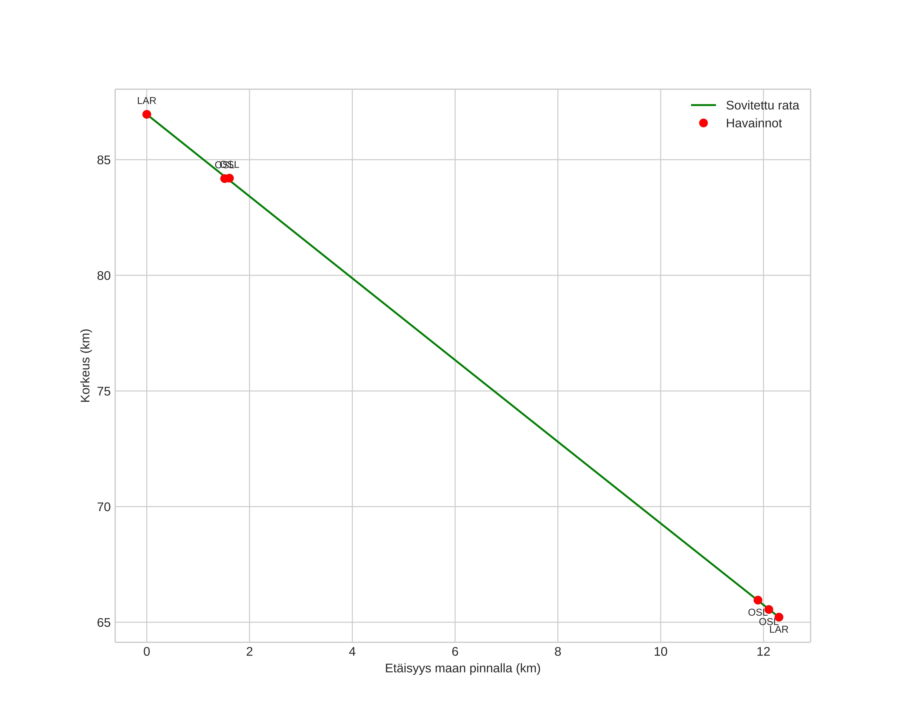
height profile
Meteorin ilmakehärata:
Alkukorkeus: 89,1 km
Loppukorkeus: 65,6 km
Alkupiste: 59,614N 7,715E
Loppupiste: 59,576N 7,943E
Suunta: 108,0°
Kallistuskulma: 60,1°
Tulonopeus: 19,9 km/s
Radiantin R,A,: 15:08 (227,1°)
Radiantin Dekl,: 53,6°
Meteoriparvi: Sporadinen
Meteoroidin rataelementit:
Perihelietäisyys: 1,013 AU
Eksentrisyys: 0,737
Inklinaatio: 23,0°
Nousevan solmun pituus: 120,3°
Perihelin argumentti: 172,7°
Keskianomalia: 0,7°
Epookki: 2020 JUL 22 22:40:57
orbit plot

Ei-interaktiivinen kuvaaja | Interaktiivinen kuvaaja

position vs time
speed and acceleration