🇳🇴 🇬🇧 🇩🇪 🇨🇿 🇫🇮

Meteor, poloha: Treungen 2020-07-22 23:07:47 UTC

Soubor KML  |  InteraktivnĂ­ mapa

Mapa zobrazuje dráhy meteoru. Světlejší čáry ukazují směry od pozorovacích stanic při objevení se meteoru a tmavší čáry, kde byl naposledy viděn. Modrá šipka značí viditelnou dráhu meteoru.

static map
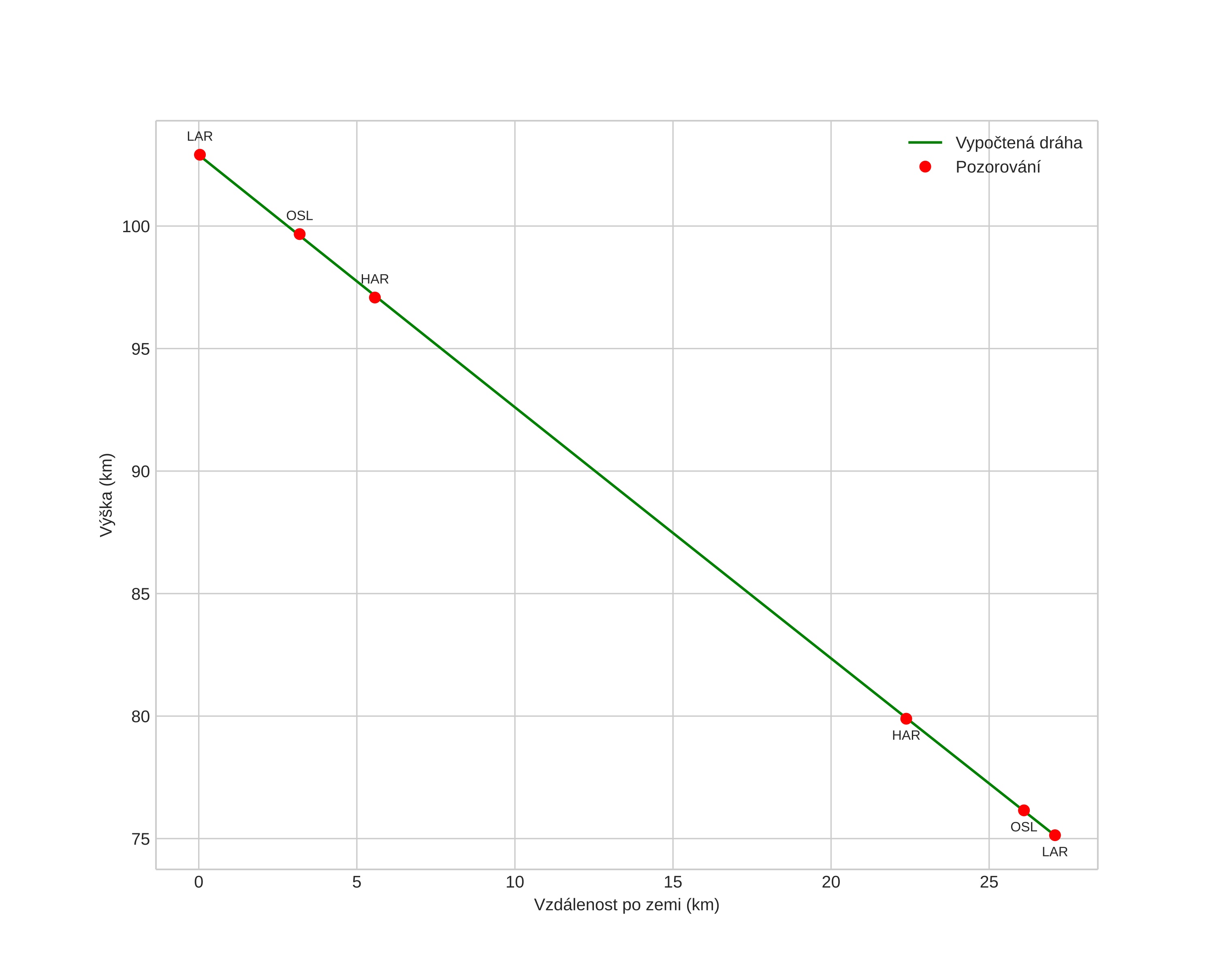
height profile
Atmosférická dráha meteoru:
Počáteční výška: 104,4 km
Konečná výška: 75,2 km
Počáteční poloha: 59,187N 8,838E
Konečná poloha: 59,068N 8,436E
Směr: 240,1°
Sklon: 47,7°
VstupnĂ­ rychlost: 57,6 km/s
Rektascenze radiantu: 01:11 (18,0°)
Deklinace radiantu: 53,6°
MeteorickĂ˝ roj: Perseidy
Elementy dráhy meteoroidu:
Vzdálenost v periheliu: 0,977 AU
Excentricita: 0,851
Sklon dráhy: 107,8°
Délka vzestupného uzlu: 120,3°
Argument perihelia: 156,4°
Střední anomálie: 1,0°
Epocha: 2020 JUL 22 23:07:47
orbit plot

NeinteraktivnĂ­ graf | InteraktivnĂ­ graf

position vs time
speed and acceleration