🇳🇴 🇬🇧 🇩🇪 🇨🇿 🇫🇮

Meteor Treungenin yllä 2020-07-22 23:07:47 UTC

KML-tiedosto  |  Interaktiivinen kartta

Kartta näyttää meteorin suuntahavainnot. Vaaleammat viivat näyttävät suunnat havaintoasemilta meteorin ilmestyessä, ja tummemmat viivat näyttävät, missä se viimeksi nähtiin. Sininen nuoli näyttää meteorin näkyvän lennon.

static map
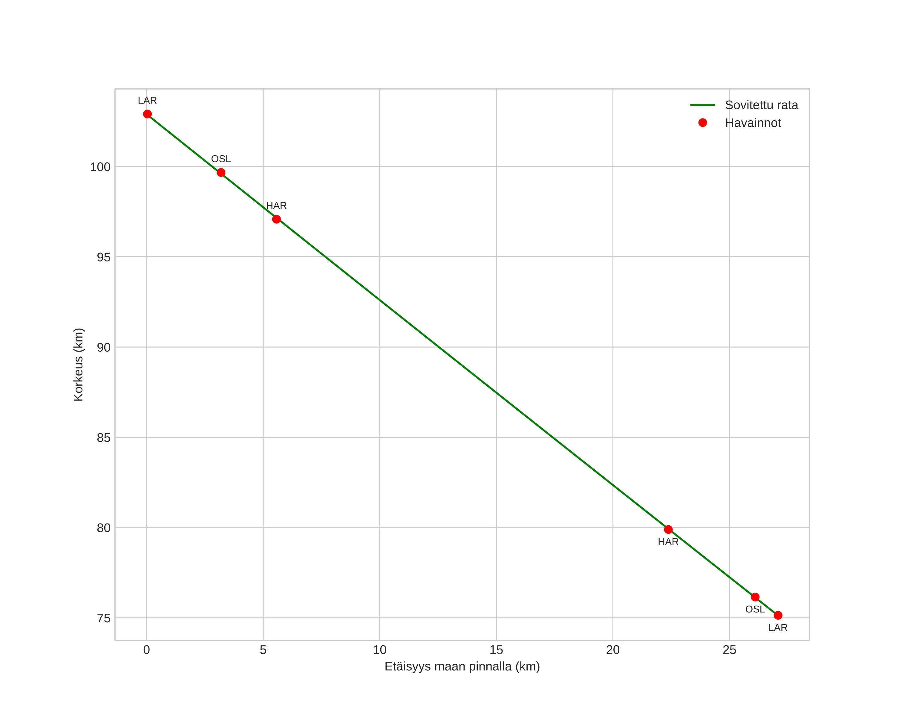
height profile
Meteorin ilmakehärata:
Alkukorkeus: 104,4 km
Loppukorkeus: 75,2 km
Alkupiste: 59,187N 8,838E
Loppupiste: 59,068N 8,436E
Suunta: 240,1°
Kallistuskulma: 47,7°
Tulonopeus: 57,6 km/s
Radiantin R,A,: 01:11 (18,0°)
Radiantin Dekl,: 53,6°
Meteoriparvi: Perseidit
Meteoroidin rataelementit:
Perihelietäisyys: 0,977 AU
Eksentrisyys: 0,851
Inklinaatio: 107,8°
Nousevan solmun pituus: 120,3°
Perihelin argumentti: 156,4°
Keskianomalia: 1,0°
Epookki: 2020 JUL 22 23:07:47
orbit plot

Ei-interaktiivinen kuvaaja | Interaktiivinen kuvaaja

position vs time
speed and acceleration