🇳🇴 🇬🇧 🇩🇪 🇨🇿 🇫🇮

Meteor, poloha: Lærdalsøyri 2020-07-31 21:22:04 UTC

Soubor KML  |  InteraktivnĂ­ mapa

Mapa zobrazuje dráhy meteoru. Světlejší čáry ukazují směry od pozorovacích stanic při objevení se meteoru a tmavší čáry, kde byl naposledy viděn. Modrá šipka značí viditelnou dráhu meteoru.

static map
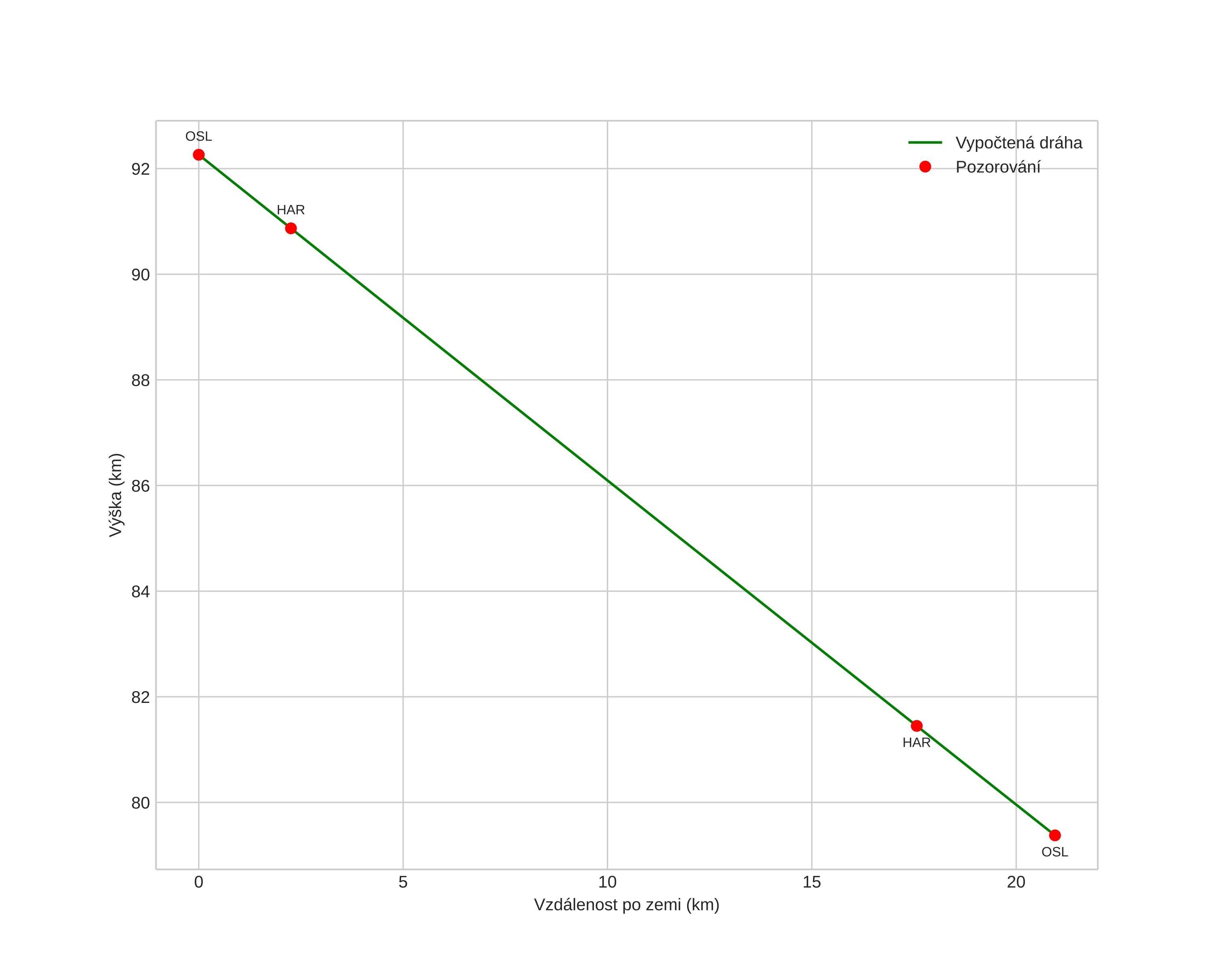
height profile
Atmosférická dráha meteoru:
Počáteční výška: 86,1 km
Konečná výška: 74,5 km
Počáteční poloha: 60,780N 7,738E
Konečná poloha: 60,948N 7,581E
Směr: 335,6°
Sklon: 29,5°
VstupnĂ­ rychlost: 22,3 km/s
Rektascenze radiantu: 19:57 (299,3°)
Deklinace radiantu: -2,3°
MeteorickĂ˝ roj: sporadickĂ˝
Elementy dráhy meteoroidu:
Vzdálenost v periheliu: 0,712 AU
Excentricita: 0,710
Sklon dráhy: 10,6°
Délka vzestupného uzlu: 128,8°
Argument perihelia: 253,6°
Střední anomálie: 348,6°
Epocha: 2020 JUL 31 21:22:04
orbit plot

NeinteraktivnĂ­ graf | InteraktivnĂ­ graf

position vs time
speed and acceleration