🇳🇴 🇬🇧 🇩🇪 🇨🇿 🇫🇮

Meteor Lærdalsøyrin yllä 2020-07-31 21:22:04 UTC

KML-tiedosto  |  Interaktiivinen kartta

Kartta näyttää meteorin suuntahavainnot. Vaaleammat viivat näyttävät suunnat havaintoasemilta meteorin ilmestyessä, ja tummemmat viivat näyttävät, missä se viimeksi nähtiin. Sininen nuoli näyttää meteorin näkyvän lennon.

static map
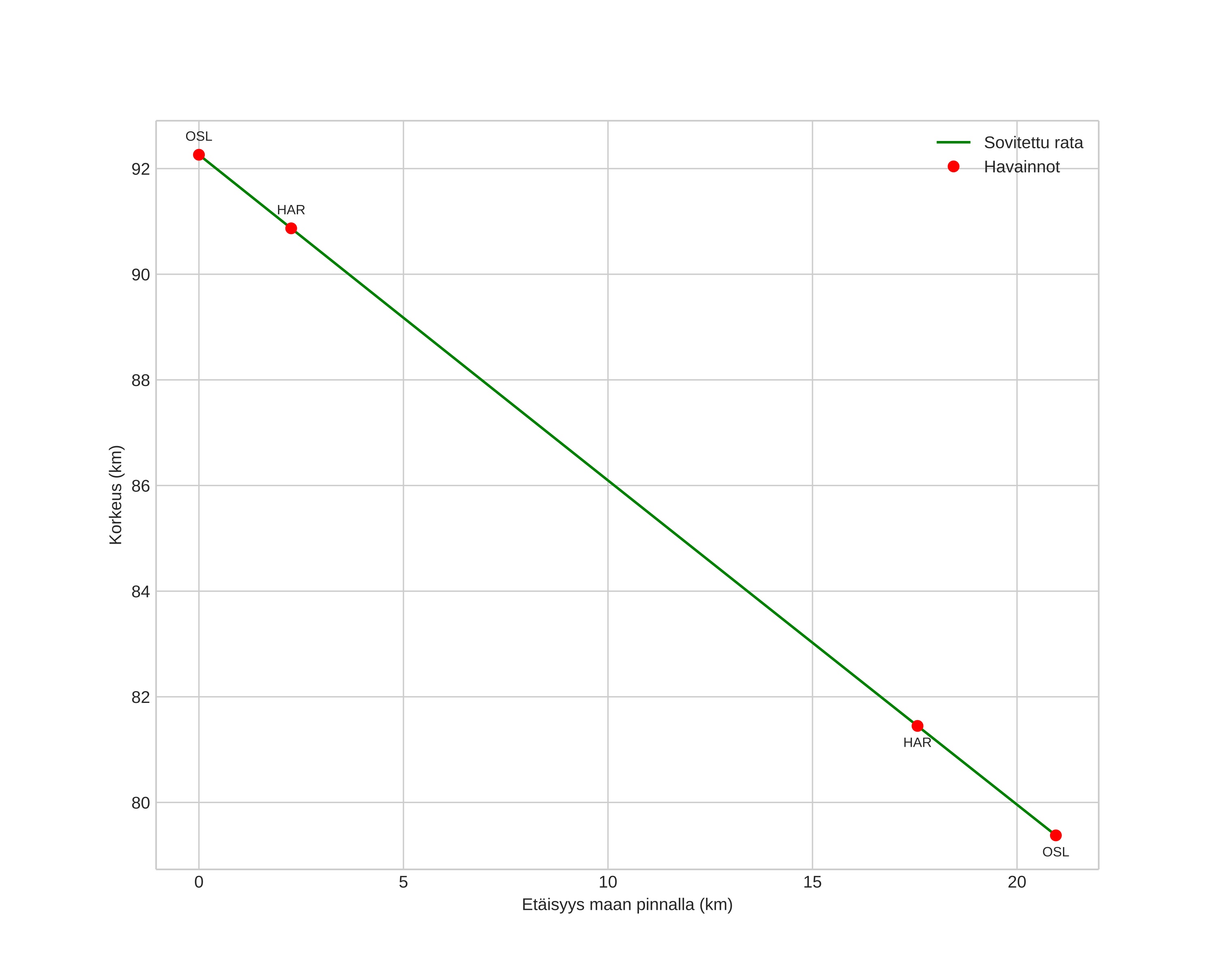
height profile
Meteorin ilmakehärata:
Alkukorkeus: 86,1 km
Loppukorkeus: 74,5 km
Alkupiste: 60,780N 7,738E
Loppupiste: 60,948N 7,581E
Suunta: 335,6°
Kallistuskulma: 29,5°
Tulonopeus: 22,3 km/s
Radiantin R,A,: 19:57 (299,3°)
Radiantin Dekl,: -2,3°
Meteoriparvi: Sporadinen
Meteoroidin rataelementit:
Perihelietäisyys: 0,712 AU
Eksentrisyys: 0,710
Inklinaatio: 10,6°
Nousevan solmun pituus: 128,8°
Perihelin argumentti: 253,6°
Keskianomalia: 348,6°
Epookki: 2020 JUL 31 21:22:04
orbit plot

Ei-interaktiivinen kuvaaja | Interaktiivinen kuvaaja

position vs time
speed and acceleration