🇳🇴 🇬🇧 🇩🇪 🇨🇿 🇫🇮

Meteor, poloha: Säffle 2020-08-03 01:08:35 UTC

Soubor KML  |  InteraktivnĂ­ mapa

Mapa zobrazuje dráhy meteoru. Světlejší čáry ukazují směry od pozorovacích stanic při objevení se meteoru a tmavší čáry, kde byl naposledy viděn. Modrá šipka značí viditelnou dráhu meteoru.

static map
height profile
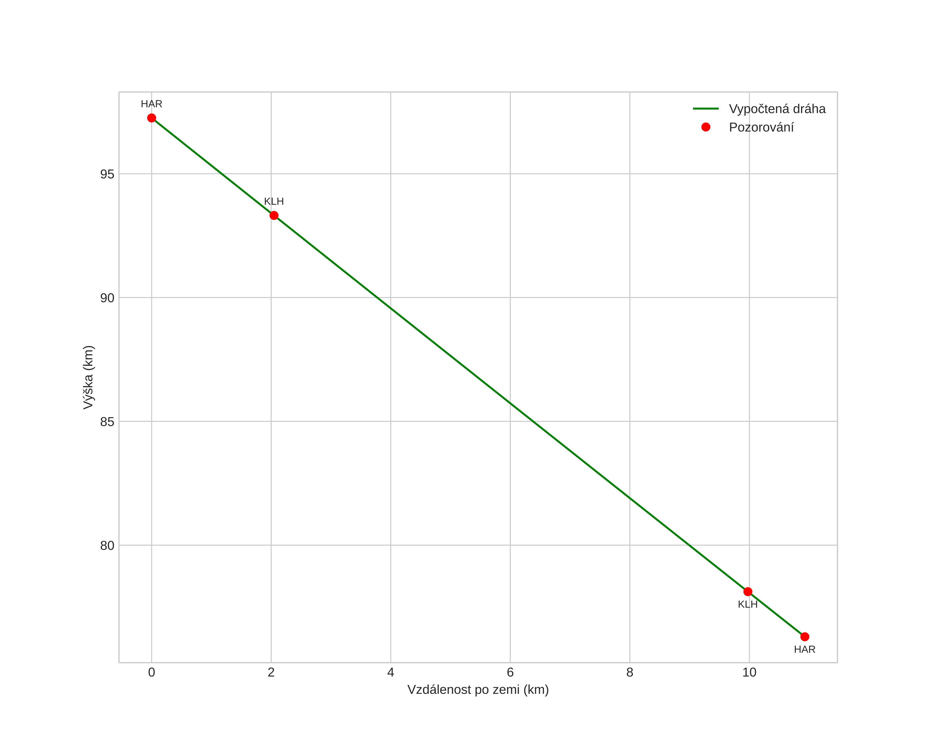
Atmosférická dráha meteoru:
Počáteční výška: 97,8 km
Konečná výška: 76,8 km
Počáteční poloha: 58,994N 13,280E
Konečná poloha: 58,976N 13,094E
Směr: 259,7°
Sklon: 62,7°
VstupnĂ­ rychlost: 62,1 km/s
Rektascenze radiantu: 02:05 (31,3°)
Deklinace radiantu: 53,3°
MeteorickĂ˝ roj: Perseidy
Elementy dráhy meteoroidu:
Vzdálenost v periheliu: 0,985 AU
Excentricita: 1,035
Sklon dráhy: 116,1°
Délka vzestupného uzlu: 130,9°
Argument perihelia: 160,6°
Střední anomálie: 0,1°
Epocha: 2020 AUG 03 01:08:35
orbit plot

NeinteraktivnĂ­ graf | InteraktivnĂ­ graf

position vs time
speed and acceleration