🇳🇴 🇬🇧 🇩🇪 🇨🇿 🇫🇮

Meteor Säfflen yllä 2020-08-03 01:08:35 UTC

KML-tiedosto  |  Interaktiivinen kartta

Kartta näyttää meteorin suuntahavainnot. Vaaleammat viivat näyttävät suunnat havaintoasemilta meteorin ilmestyessä, ja tummemmat viivat näyttävät, missä se viimeksi nähtiin. Sininen nuoli näyttää meteorin näkyvän lennon.

static map
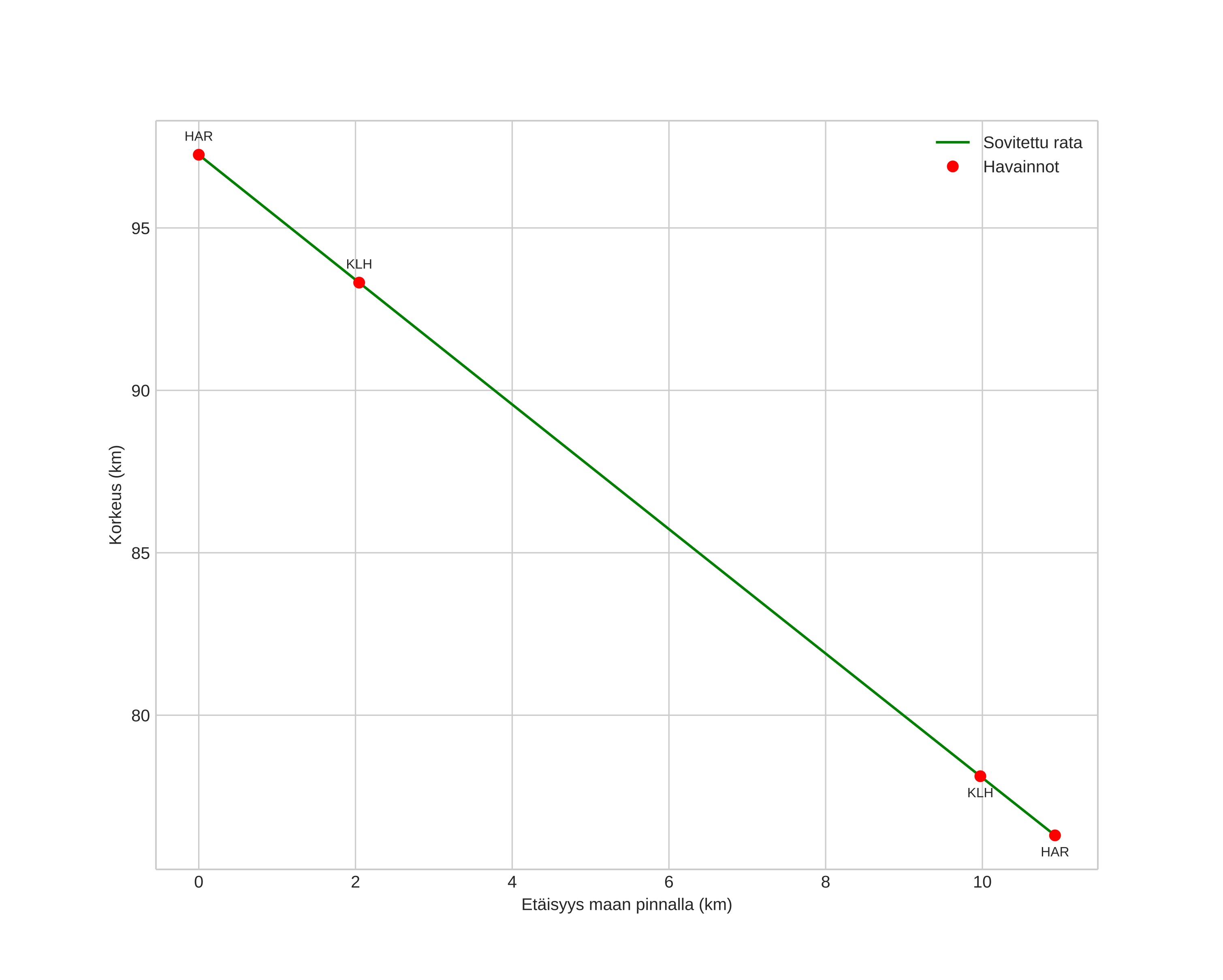
height profile
Meteorin ilmakehärata:
Alkukorkeus: 97,8 km
Loppukorkeus: 76,8 km
Alkupiste: 58,994N 13,280E
Loppupiste: 58,976N 13,094E
Suunta: 259,7°
Kallistuskulma: 62,7°
Tulonopeus: 62,1 km/s
Radiantin R,A,: 02:05 (31,3°)
Radiantin Dekl,: 53,3°
Meteoriparvi: Perseidit
Meteoroidin rataelementit:
Perihelietäisyys: 0,985 AU
Eksentrisyys: 1,035
Inklinaatio: 116,1°
Nousevan solmun pituus: 130,9°
Perihelin argumentti: 160,6°
Keskianomalia: 0,1°
Epookki: 2020 AUG 03 01:08:35
orbit plot

Ei-interaktiivinen kuvaaja | Interaktiivinen kuvaaja

position vs time
speed and acceleration