🇳🇴 🇬🇧 🇩🇪 🇨🇿 🇫🇮

Meteor, poloha: Torsby 2020-08-05 00:07:33 UTC

Soubor KML  |  InteraktivnĂ­ mapa

Mapa zobrazuje dráhy meteoru. Světlejší čáry ukazují směry od pozorovacích stanic při objevení se meteoru a tmavší čáry, kde byl naposledy viděn. Modrá šipka značí viditelnou dráhu meteoru.

static map
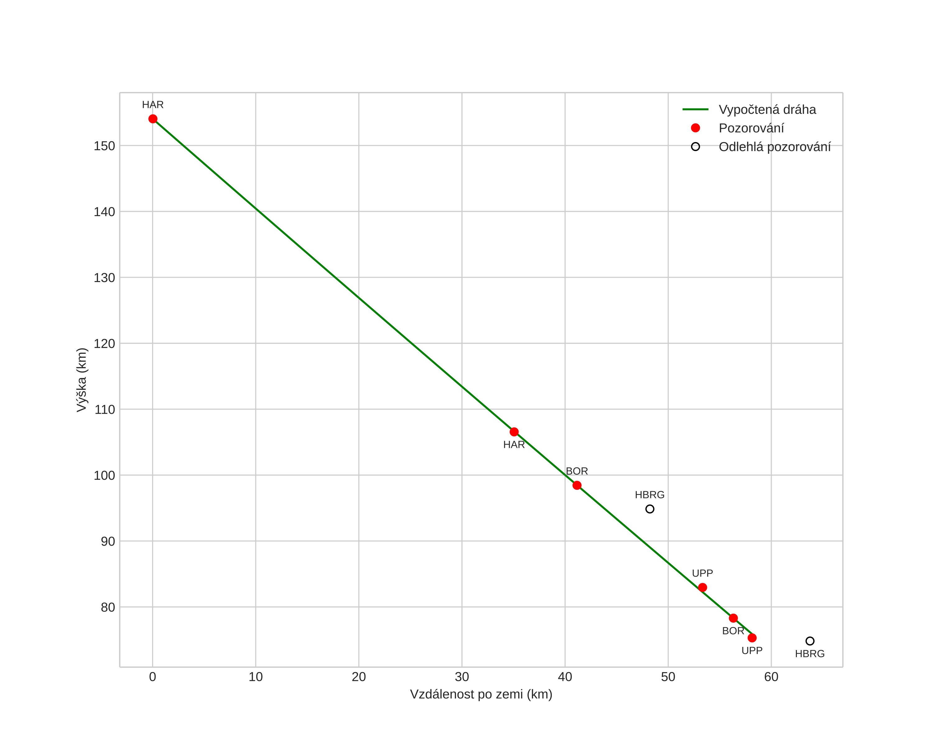
height profile
Atmosférická dráha meteoru:
Počáteční výška: 129,9 km
Konečná výška: 78,0 km
Počáteční poloha: 60,491N 13,297E
Konečná poloha: 60,367N 12,696E
Směr: 247,5°
Sklon: 55,4°
VstupnĂ­ rychlost: 92,8 km/s
Rektascenze radiantu: 02:24 (36,2°)
Deklinace radiantu: 55,3°
MeteorickĂ˝ roj: sporadickĂ˝
Elementy dráhy meteoroidu:
Vzdálenost v periheliu: 0,991 AU
Excentricita: 4,827
Sklon dráhy: 125,9°
Délka vzestupného uzlu: 132,8°
Argument perihelia: 166,5°
Střední anomálie: 42,7°
Epocha: 2020 AUG 05 00:07:33
orbit plot

NeinteraktivnĂ­ graf | InteraktivnĂ­ graf

position vs time
speed and acceleration