🇳🇴 🇬🇧 🇩🇪 🇨🇿 🇫🇮

Meteor Torsbyn yllä 2020-08-05 00:07:33 UTC

KML-tiedosto  |  Interaktiivinen kartta

Kartta näyttää meteorin suuntahavainnot. Vaaleammat viivat näyttävät suunnat havaintoasemilta meteorin ilmestyessä, ja tummemmat viivat näyttävät, missä se viimeksi nähtiin. Sininen nuoli näyttää meteorin näkyvän lennon.

static map
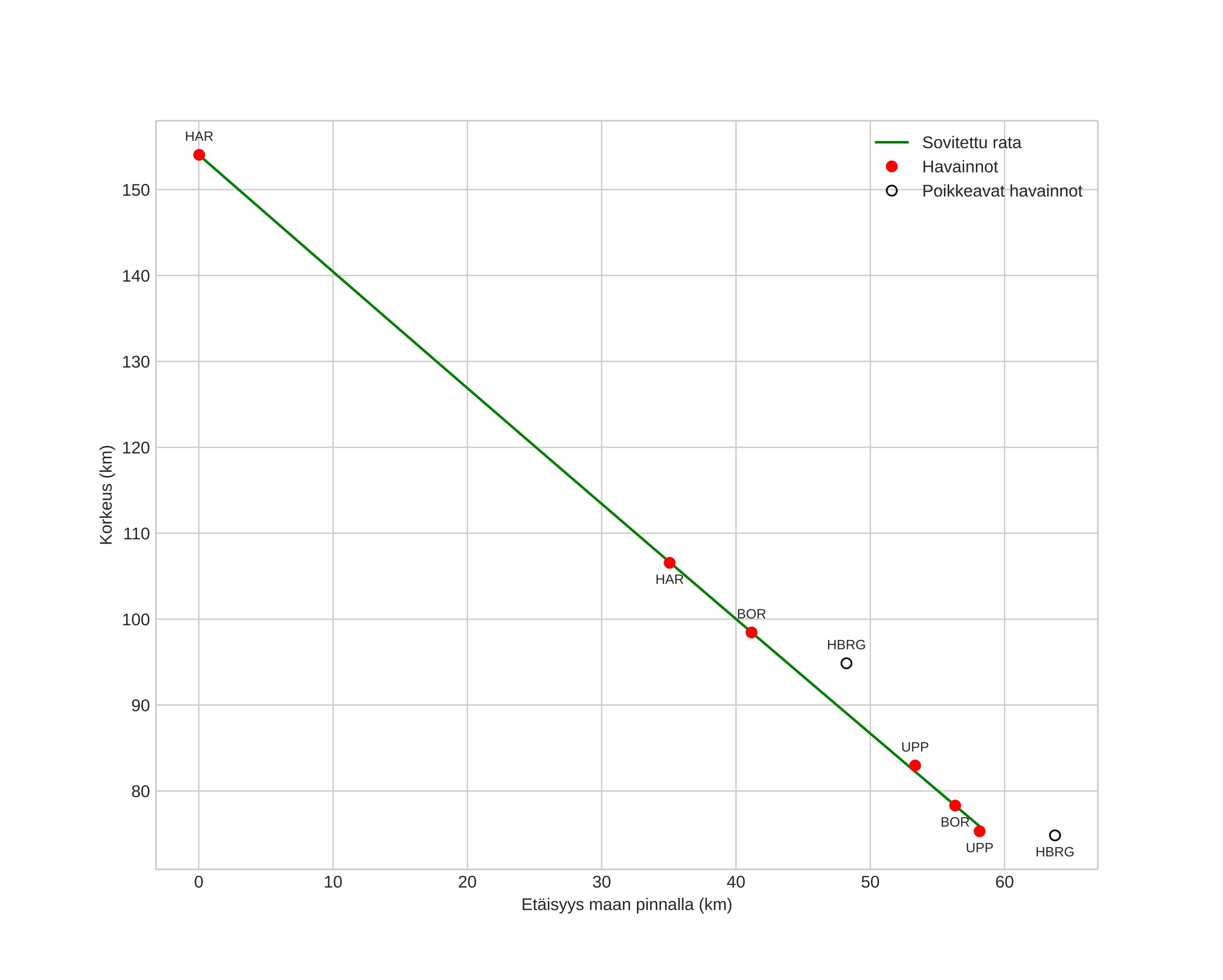
height profile
Meteorin ilmakehärata:
Alkukorkeus: 129,9 km
Loppukorkeus: 78,0 km
Alkupiste: 60,491N 13,297E
Loppupiste: 60,367N 12,696E
Suunta: 247,5°
Kallistuskulma: 55,4°
Tulonopeus: 92,8 km/s
Radiantin R,A,: 02:24 (36,2°)
Radiantin Dekl,: 55,3°
Meteoriparvi: Sporadinen
Meteoroidin rataelementit:
Perihelietäisyys: 0,991 AU
Eksentrisyys: 4,827
Inklinaatio: 125,9°
Nousevan solmun pituus: 132,8°
Perihelin argumentti: 166,5°
Keskianomalia: 42,7°
Epookki: 2020 AUG 05 00:07:33
orbit plot

Ei-interaktiivinen kuvaaja | Interaktiivinen kuvaaja

position vs time
speed and acceleration