🇳🇴 🇬🇧 🇩🇪 🇨🇿 🇫🇮

Meteor, poloha: Egersund 2020-08-08 22:41:46 UTC

Soubor KML  |  InteraktivnĂ­ mapa

Mapa zobrazuje dráhy meteoru. Světlejší čáry ukazují směry od pozorovacích stanic při objevení se meteoru a tmavší čáry, kde byl naposledy viděn. Modrá šipka značí viditelnou dráhu meteoru.

static map
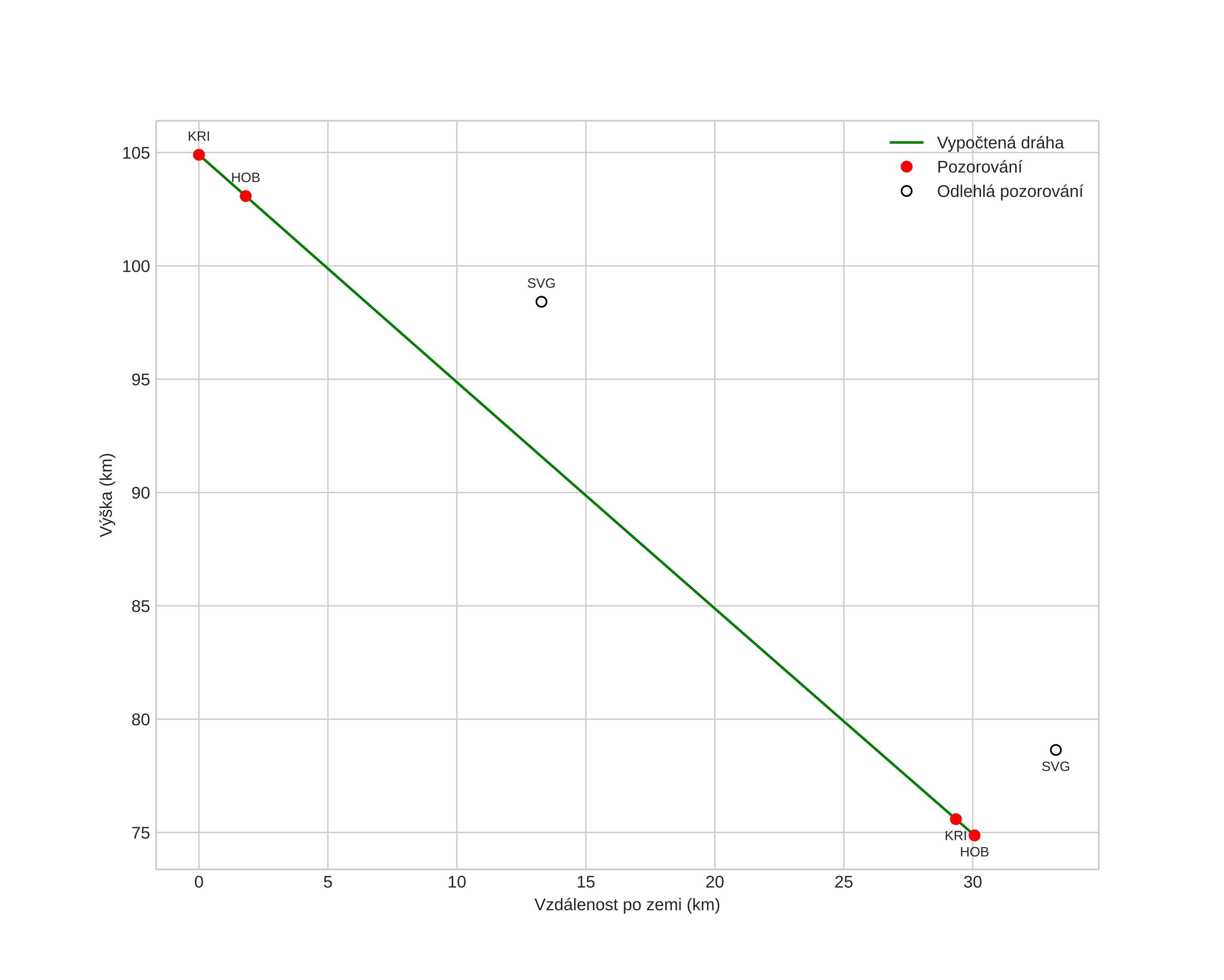
height profile
Atmosférická dráha meteoru:
Počáteční výška: 104,8 km
Konečná výška: 74,9 km
Počáteční poloha: 57,311N 5,794E
Konečná poloha: 57,119N 5,442E
Směr: 225,0°
Sklon: 44,9°
VstupnĂ­ rychlost: 54,9 km/s
Rektascenze radiantu: 02:35 (38,9°)
Deklinace radiantu: 59,6°
MeteorickĂ˝ roj: Perseidy
Elementy dráhy meteoroidu:
Vzdálenost v periheliu: 0,959 AU
Excentricita: 0,658
Sklon dráhy: 105,5°
Délka vzestupného uzlu: 136,5°
Argument perihelia: 149,8°
Střední anomálie: 4,9°
Epocha: 2020 AUG 08 22:41:46
orbit plot

NeinteraktivnĂ­ graf | InteraktivnĂ­ graf

position vs time
speed and acceleration