🇳🇴 🇬🇧 🇩🇪 🇨🇿 🇫🇮

Meteor Egersundin yllä 2020-08-08 22:41:46 UTC

KML-tiedosto  |  Interaktiivinen kartta

Kartta näyttää meteorin suuntahavainnot. Vaaleammat viivat näyttävät suunnat havaintoasemilta meteorin ilmestyessä, ja tummemmat viivat näyttävät, missä se viimeksi nähtiin. Sininen nuoli näyttää meteorin näkyvän lennon.

static map
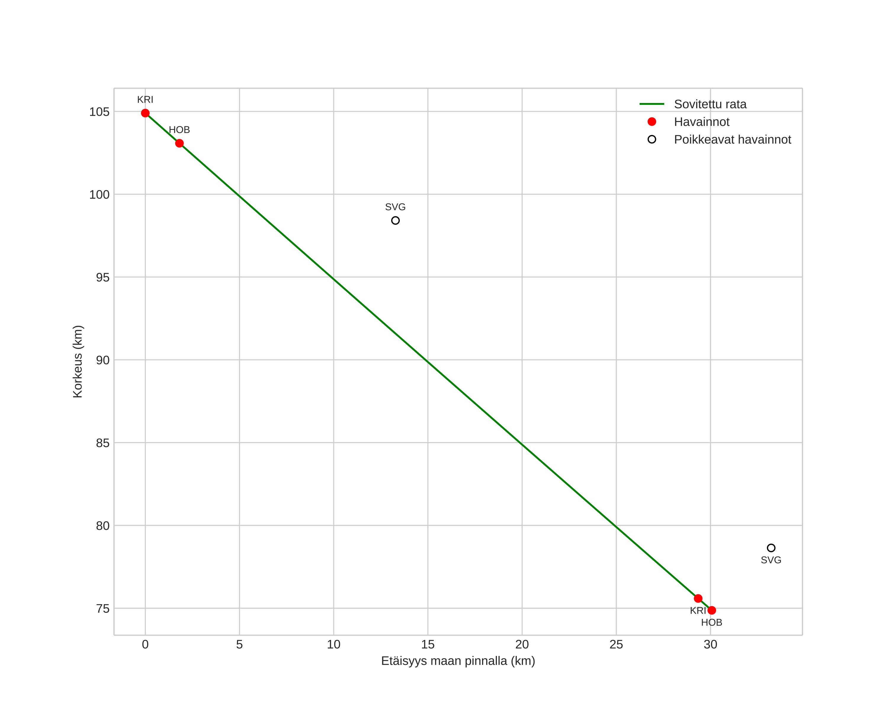
height profile
Meteorin ilmakehärata:
Alkukorkeus: 104,8 km
Loppukorkeus: 74,9 km
Alkupiste: 57,311N 5,794E
Loppupiste: 57,119N 5,442E
Suunta: 225,0°
Kallistuskulma: 44,9°
Tulonopeus: 54,9 km/s
Radiantin R,A,: 02:35 (38,9°)
Radiantin Dekl,: 59,6°
Meteoriparvi: Perseidit
Meteoroidin rataelementit:
Perihelietäisyys: 0,959 AU
Eksentrisyys: 0,658
Inklinaatio: 105,5°
Nousevan solmun pituus: 136,5°
Perihelin argumentti: 149,8°
Keskianomalia: 4,9°
Epookki: 2020 AUG 08 22:41:46
orbit plot

Ei-interaktiivinen kuvaaja | Interaktiivinen kuvaaja

position vs time
speed and acceleration