🇳🇴 🇬🇧 🇩🇪 🇨🇿 🇫🇮

Meteor, poloha: Skattkärr 2020-08-09 00:23:26 UTC

Soubor KML  |  InteraktivnĂ­ mapa

Mapa zobrazuje dráhy meteoru. Světlejší čáry ukazují směry od pozorovacích stanic při objevení se meteoru a tmavší čáry, kde byl naposledy viděn. Modrá šipka značí viditelnou dráhu meteoru.

static map
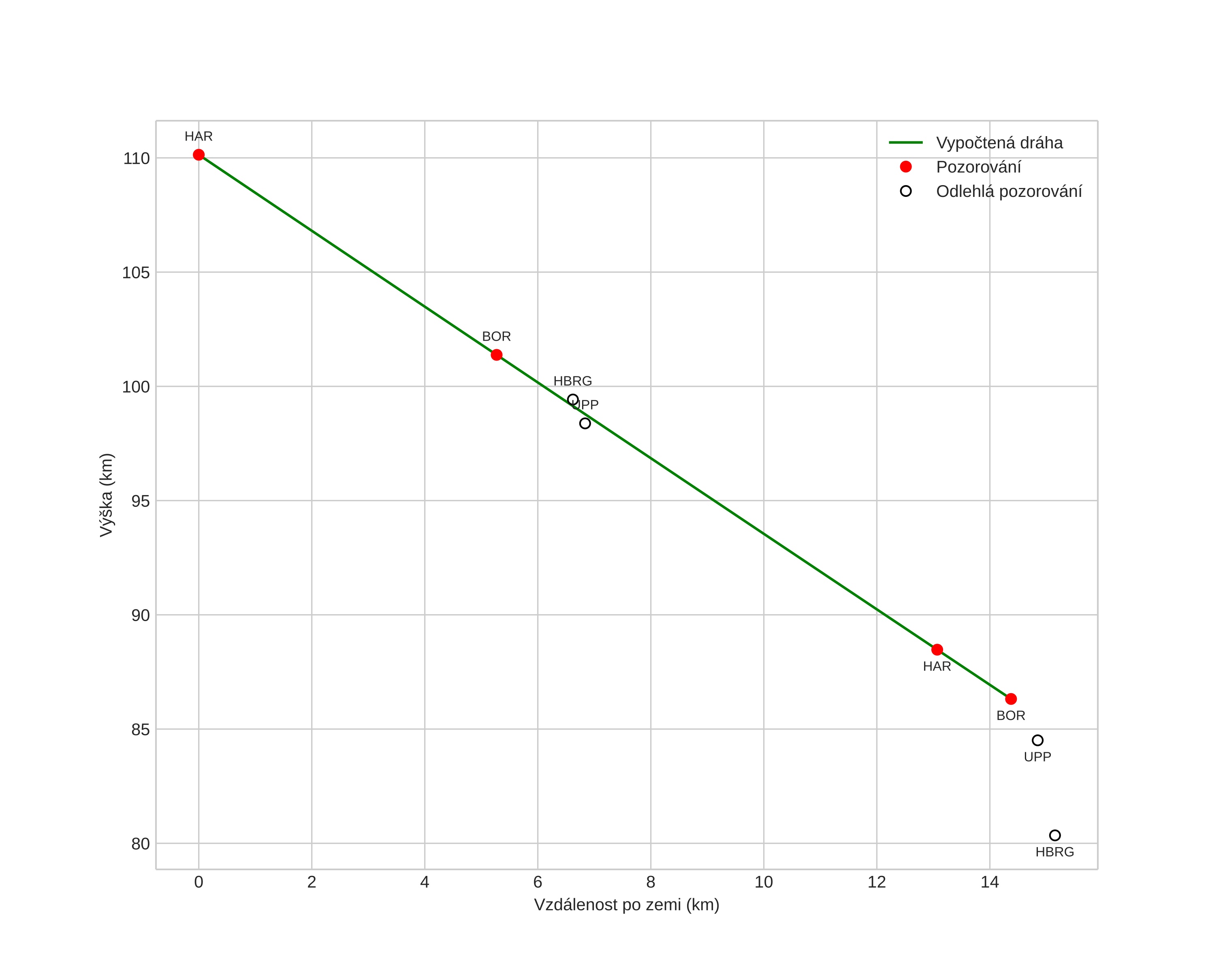
height profile
Atmosférická dráha meteoru:
Počáteční výška: 105,7 km
Konečná výška: 87,5 km
Počáteční poloha: 59,509N 13,999E
Konečná poloha: 59,464N 13,824E
Směr: 243,3°
Sklon: 58,7°
VstupnĂ­ rychlost: 53,3 km/s
Rektascenze radiantu: 02:43 (40,9°)
Deklinace radiantu: 58,6°
MeteorickĂ˝ roj: Perseidy
Elementy dráhy meteoroidu:
Vzdálenost v periheliu: 0,936 AU
Excentricita: 0,512
Sklon dráhy: 105,5°
Délka vzestupného uzlu: 136,6°
Argument perihelia: 140,5°
Střední anomálie: 11,5°
Epocha: 2020 AUG 09 00:23:26
orbit plot

NeinteraktivnĂ­ graf | InteraktivnĂ­ graf

position vs time
speed and acceleration