🇳🇴 🇬🇧 🇩🇪 🇨🇿 🇫🇮

Meteor Skattkärrin yllä 2020-08-09 00:23:26 UTC

KML-tiedosto  |  Interaktiivinen kartta

Kartta näyttää meteorin suuntahavainnot. Vaaleammat viivat näyttävät suunnat havaintoasemilta meteorin ilmestyessä, ja tummemmat viivat näyttävät, missä se viimeksi nähtiin. Sininen nuoli näyttää meteorin näkyvän lennon.

static map
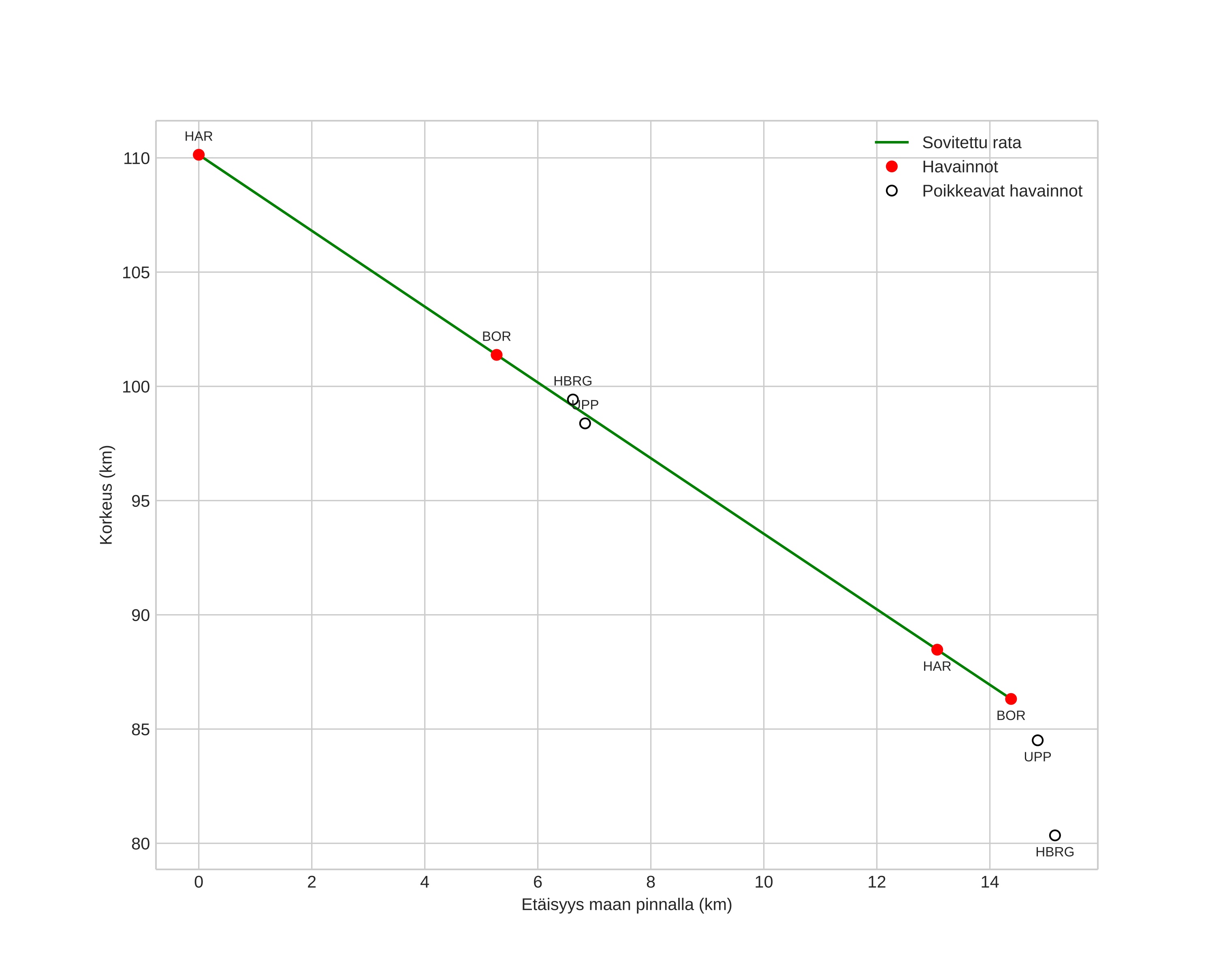
height profile
Meteorin ilmakehärata:
Alkukorkeus: 105,7 km
Loppukorkeus: 87,5 km
Alkupiste: 59,509N 13,999E
Loppupiste: 59,464N 13,824E
Suunta: 243,3°
Kallistuskulma: 58,7°
Tulonopeus: 53,3 km/s
Radiantin R,A,: 02:43 (40,9°)
Radiantin Dekl,: 58,6°
Meteoriparvi: Perseidit
Meteoroidin rataelementit:
Perihelietäisyys: 0,936 AU
Eksentrisyys: 0,512
Inklinaatio: 105,5°
Nousevan solmun pituus: 136,6°
Perihelin argumentti: 140,5°
Keskianomalia: 11,5°
Epookki: 2020 AUG 09 00:23:26
orbit plot

Ei-interaktiivinen kuvaaja | Interaktiivinen kuvaaja

position vs time
speed and acceleration