🇳🇴 🇬🇧 🇩🇪 🇨🇿 🇫🇮

Meteor, poloha: Helgoland 2020-08-09 22:59:25 UTC

Soubor KML  |  InteraktivnĂ­ mapa

Mapa zobrazuje dráhy meteoru. Světlejší čáry ukazují směry od pozorovacích stanic při objevení se meteoru a tmavší čáry, kde byl naposledy viděn. Modrá šipka značí viditelnou dráhu meteoru.

static map
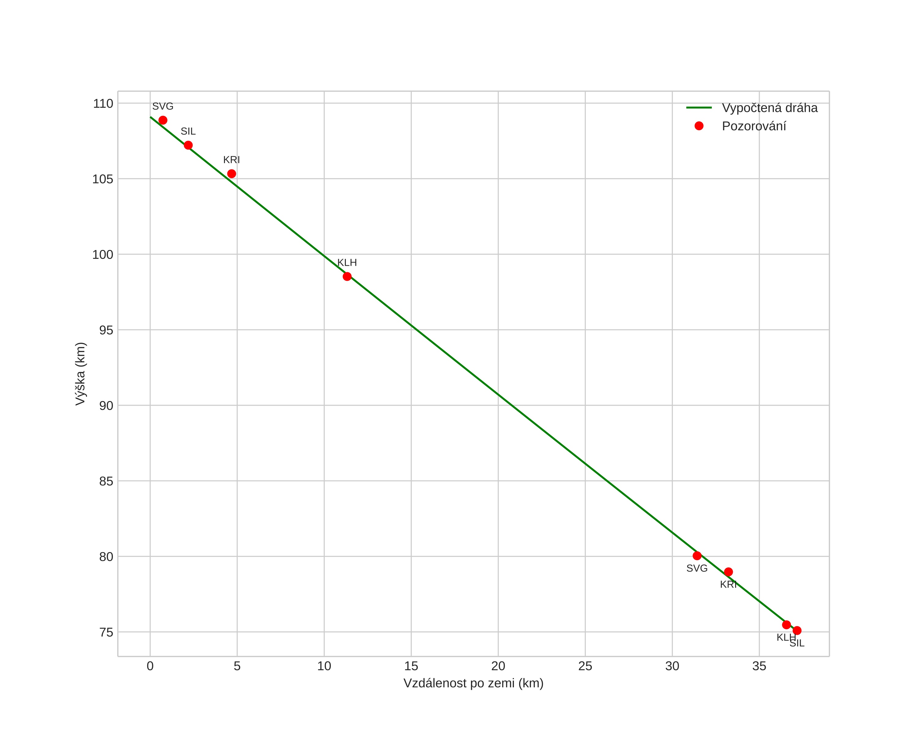
height profile
Atmosférická dráha meteoru:
Počáteční výška: 108,8 km
Konečná výška: 75,3 km
Počáteční poloha: 55,196N 7,729E
Konečná poloha: 54,959N 7,297E
Směr: 226,5°
Sklon: 41,4°
VstupnĂ­ rychlost: 60,4 km/s
Rektascenze radiantu: 03:05 (46,5°)
Deklinace radiantu: 56,7°
MeteorickĂ˝ roj: Perseidy
Elementy dráhy meteoroidu:
Vzdálenost v periheliu: 0,937 AU
Excentricita: 0,935
Sklon dráhy: 114,2°
Délka vzestupného uzlu: 137,5°
Argument perihelia: 147,5°
Střední anomálie: 0,4°
Epocha: 2020 AUG 09 22:59:25
orbit plot

NeinteraktivnĂ­ graf | InteraktivnĂ­ graf

position vs time
speed and acceleration