🇳🇴 🇬🇧 🇩🇪 🇨🇿 🇫🇮

Meteor Helgolandin yllä 2020-08-09 22:59:25 UTC

KML-tiedosto  |  Interaktiivinen kartta

Kartta näyttää meteorin suuntahavainnot. Vaaleammat viivat näyttävät suunnat havaintoasemilta meteorin ilmestyessä, ja tummemmat viivat näyttävät, missä se viimeksi nähtiin. Sininen nuoli näyttää meteorin näkyvän lennon.

static map
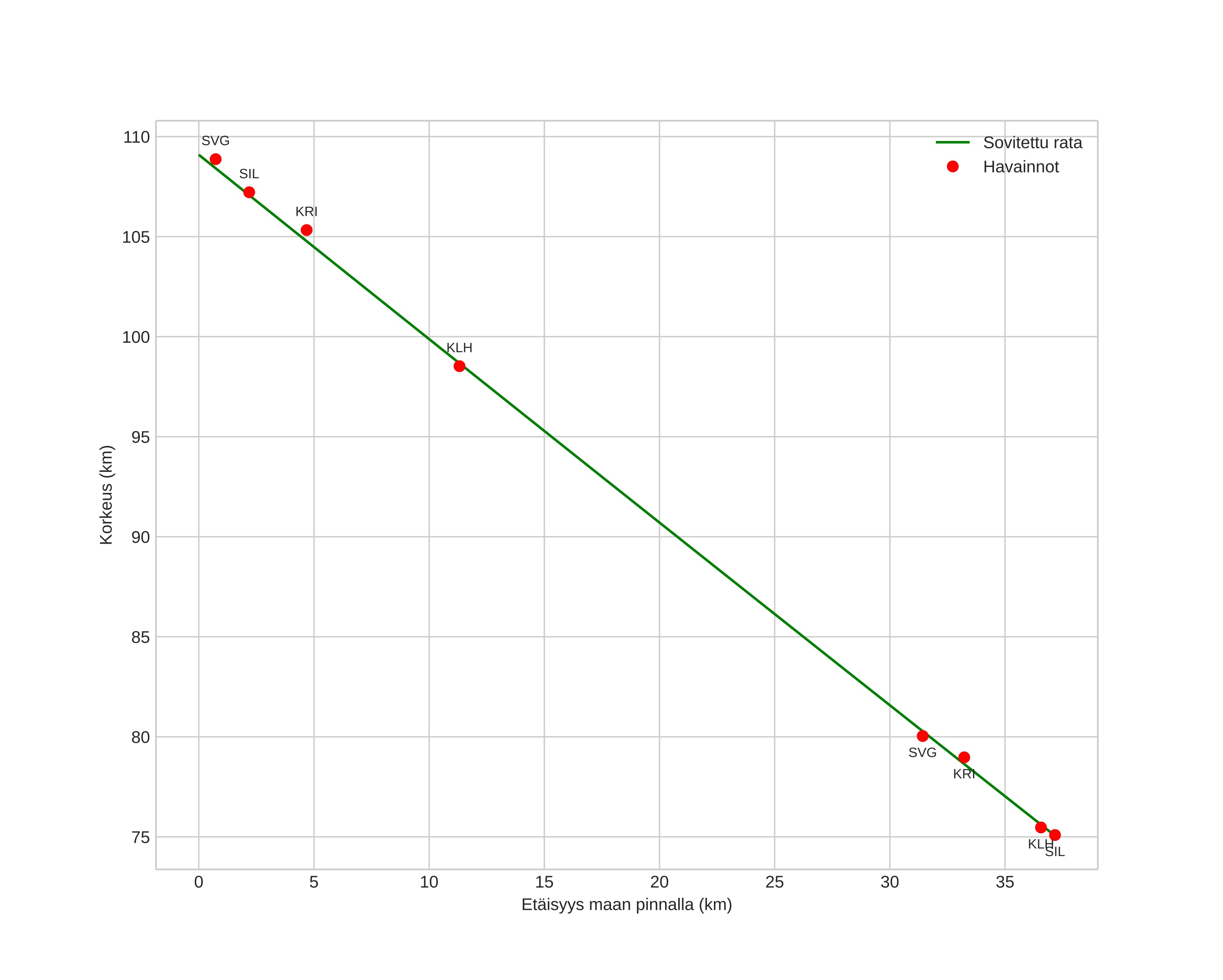
height profile
Meteorin ilmakehärata:
Alkukorkeus: 108,8 km
Loppukorkeus: 75,3 km
Alkupiste: 55,196N 7,729E
Loppupiste: 54,959N 7,297E
Suunta: 226,5°
Kallistuskulma: 41,4°
Tulonopeus: 60,4 km/s
Radiantin R,A,: 03:05 (46,5°)
Radiantin Dekl,: 56,7°
Meteoriparvi: Perseidit
Meteoroidin rataelementit:
Perihelietäisyys: 0,937 AU
Eksentrisyys: 0,935
Inklinaatio: 114,2°
Nousevan solmun pituus: 137,5°
Perihelin argumentti: 147,5°
Keskianomalia: 0,4°
Epookki: 2020 AUG 09 22:59:25
orbit plot

Ei-interaktiivinen kuvaaja | Interaktiivinen kuvaaja

position vs time
speed and acceleration