🇳🇴 🇬🇧 🇩🇪 🇨🇿 🇫🇮

Meteor, poloha: Viskafors 2020-08-09 23:08:04 UTC

Soubor KML  |  InteraktivnĂ­ mapa

Mapa zobrazuje dráhy meteoru. Světlejší čáry ukazují směry od pozorovacích stanic při objevení se meteoru a tmavší čáry, kde byl naposledy viděn. Modrá šipka značí viditelnou dráhu meteoru.

static map
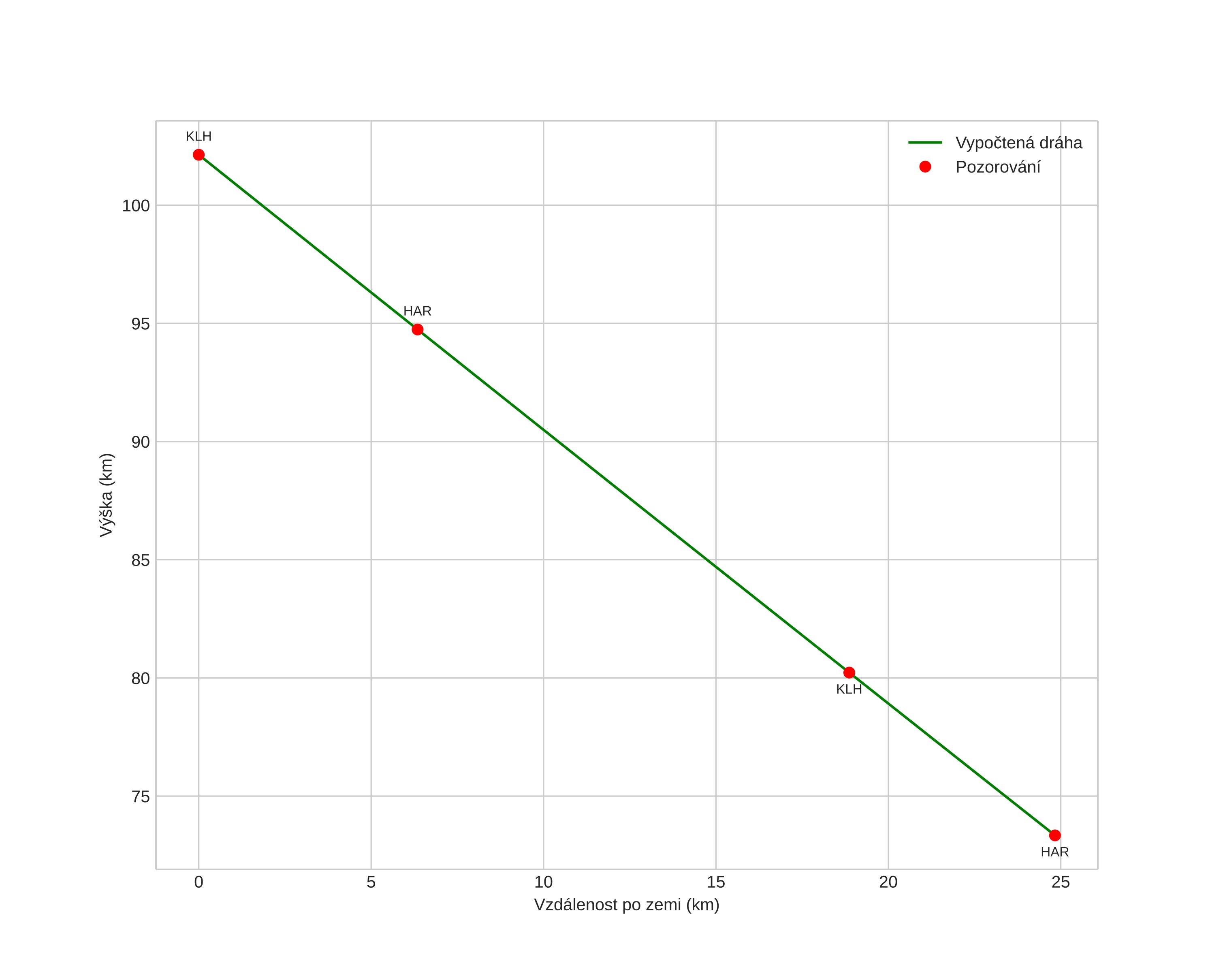
height profile
Atmosférická dráha meteoru:
Počáteční výška: 101,3 km
Konečná výška: 76,4 km
Počáteční poloha: 57,709N 13,190E
Konečná poloha: 57,592N 12,895E
Směr: 233,4°
Sklon: 48,7°
VstupnĂ­ rychlost: 59,9 km/s
Rektascenze radiantu: 02:46 (41,6°)
Deklinace radiantu: 57,5°
MeteorickĂ˝ roj: Perseidy
Elementy dráhy meteoroidu:
Vzdálenost v periheliu: 0,968 AU
Excentricita: 0,934
Sklon dráhy: 112,3°
Délka vzestupného uzlu: 137,5°
Argument perihelia: 154,9°
Střední anomálie: 0,3°
Epocha: 2020 AUG 09 23:08:04
orbit plot

NeinteraktivnĂ­ graf | InteraktivnĂ­ graf

position vs time
speed and acceleration