🇳🇴 🇬🇧 🇩🇪 🇨🇿 🇫🇮

Meteor Viskaforsin yllä 2020-08-09 23:08:04 UTC

KML-tiedosto  |  Interaktiivinen kartta

Kartta näyttää meteorin suuntahavainnot. Vaaleammat viivat näyttävät suunnat havaintoasemilta meteorin ilmestyessä, ja tummemmat viivat näyttävät, missä se viimeksi nähtiin. Sininen nuoli näyttää meteorin näkyvän lennon.

static map
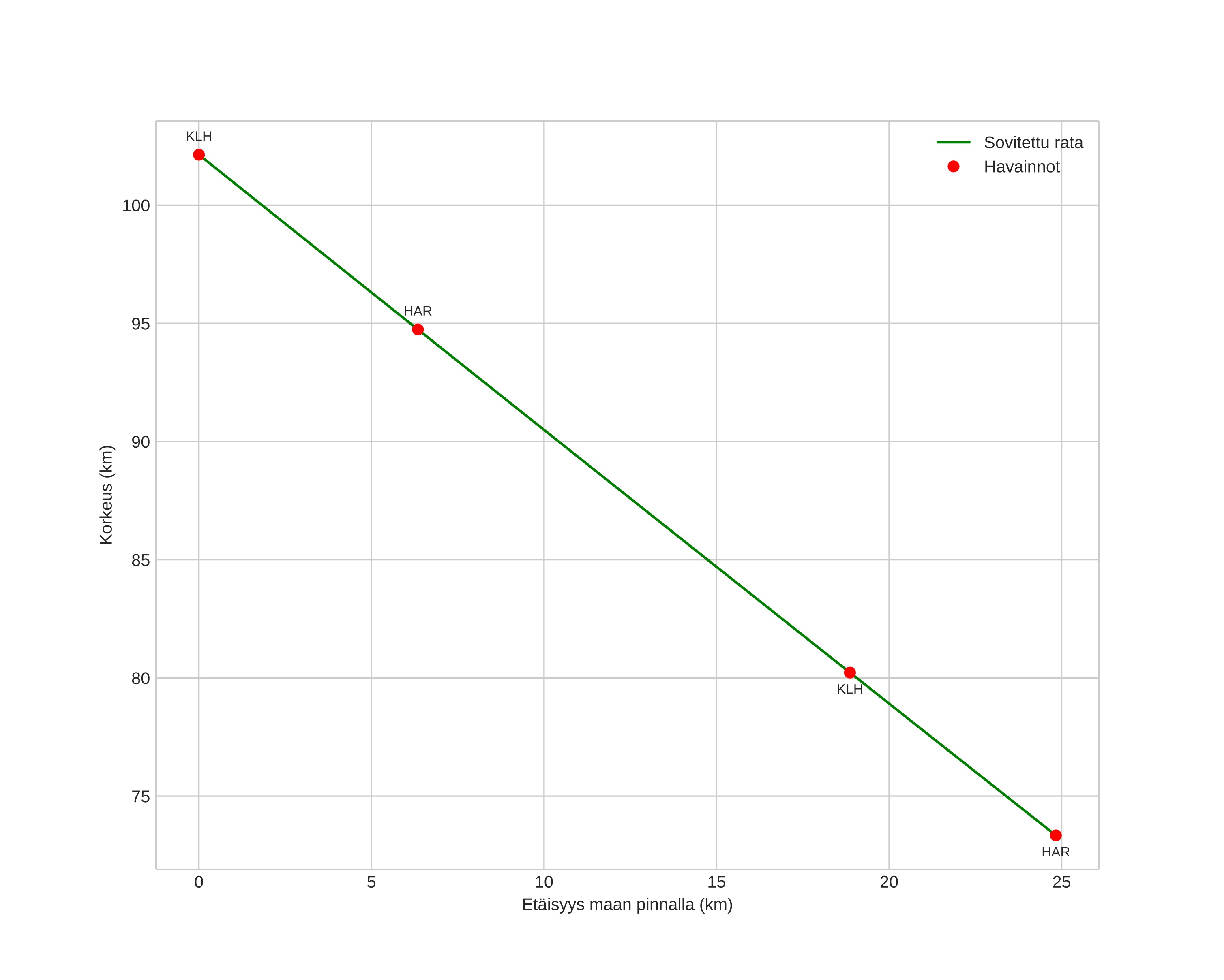
height profile
Meteorin ilmakehärata:
Alkukorkeus: 101,3 km
Loppukorkeus: 76,4 km
Alkupiste: 57,709N 13,190E
Loppupiste: 57,592N 12,895E
Suunta: 233,4°
Kallistuskulma: 48,7°
Tulonopeus: 59,9 km/s
Radiantin R,A,: 02:46 (41,6°)
Radiantin Dekl,: 57,5°
Meteoriparvi: Perseidit
Meteoroidin rataelementit:
Perihelietäisyys: 0,968 AU
Eksentrisyys: 0,934
Inklinaatio: 112,3°
Nousevan solmun pituus: 137,5°
Perihelin argumentti: 154,9°
Keskianomalia: 0,3°
Epookki: 2020 AUG 09 23:08:04
orbit plot

Ei-interaktiivinen kuvaaja | Interaktiivinen kuvaaja

position vs time
speed and acceleration