🇳🇴 🇬🇧 🇩🇪 🇨🇿 🇫🇮

Meteor, poloha: Bräcke 2020-08-10 00:54:49 UTC

Soubor KML  |  InteraktivnĂ­ mapa

Mapa zobrazuje dráhy meteoru. Světlejší čáry ukazují směry od pozorovacích stanic při objevení se meteoru a tmavší čáry, kde byl naposledy viděn. Modrá šipka značí viditelnou dráhu meteoru.

static map
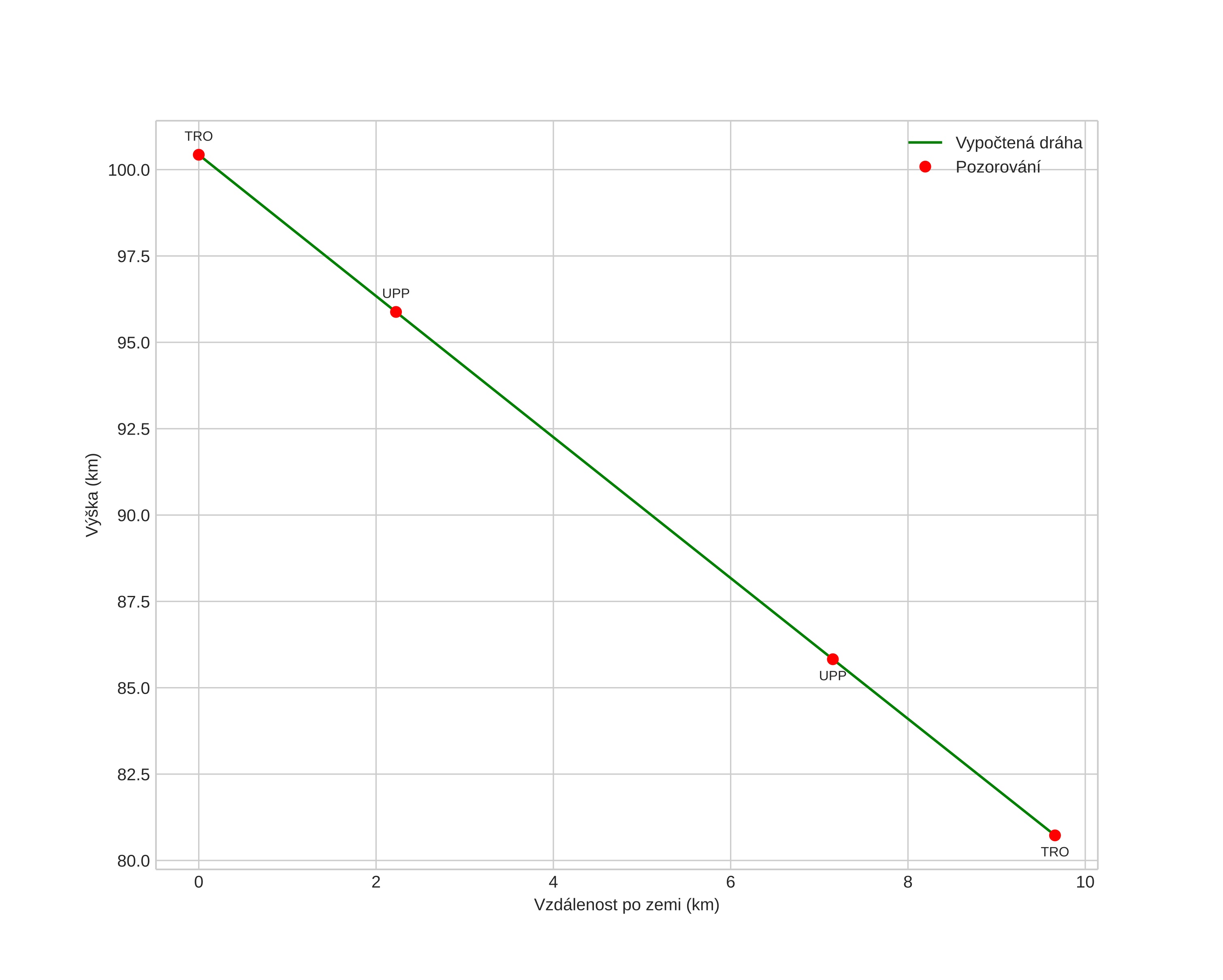
height profile
Atmosférická dráha meteoru:
Počáteční výška: 101,1 km
Konečná výška: 81,4 km
Počáteční poloha: 62,387N 15,253E
Konečná poloha: 62,356N 15,077E
Směr: 249,4°
Sklon: 63,9°
VstupnĂ­ rychlost: 60,6 km/s
Rektascenze radiantu: 02:53 (43,4°)
Deklinace radiantu: 60,0°
MeteorickĂ˝ roj: Perseidy
Elementy dráhy meteoroidu:
Vzdálenost v periheliu: 0,958 AU
Excentricita: 1,094
Sklon dráhy: 109,8°
Délka vzestupného uzlu: 137,6°
Argument perihelia: 153,6°
Střední anomálie: 0,5°
Epocha: 2020 AUG 10 00:54:49
orbit plot

NeinteraktivnĂ­ graf | InteraktivnĂ­ graf

position vs time
speed and acceleration