🇳🇴 🇬🇧 🇩🇪 🇨🇿 🇫🇮

Meteor Bräcken yllä 2020-08-10 00:54:49 UTC

KML-tiedosto  |  Interaktiivinen kartta

Kartta näyttää meteorin suuntahavainnot. Vaaleammat viivat näyttävät suunnat havaintoasemilta meteorin ilmestyessä, ja tummemmat viivat näyttävät, missä se viimeksi nähtiin. Sininen nuoli näyttää meteorin näkyvän lennon.

static map
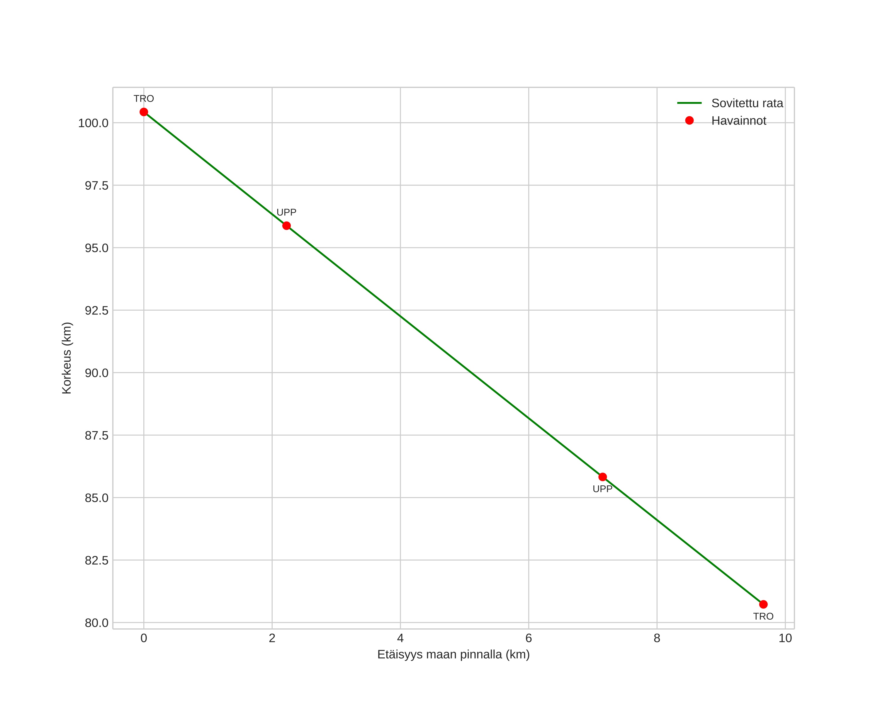
height profile
Meteorin ilmakehärata:
Alkukorkeus: 101,1 km
Loppukorkeus: 81,4 km
Alkupiste: 62,387N 15,253E
Loppupiste: 62,356N 15,077E
Suunta: 249,4°
Kallistuskulma: 63,9°
Tulonopeus: 60,6 km/s
Radiantin R,A,: 02:53 (43,4°)
Radiantin Dekl,: 60,0°
Meteoriparvi: Perseidit
Meteoroidin rataelementit:
Perihelietäisyys: 0,958 AU
Eksentrisyys: 1,094
Inklinaatio: 109,8°
Nousevan solmun pituus: 137,6°
Perihelin argumentti: 153,6°
Keskianomalia: 0,5°
Epookki: 2020 AUG 10 00:54:49
orbit plot

Ei-interaktiivinen kuvaaja | Interaktiivinen kuvaaja

position vs time
speed and acceleration