🇳🇴 🇬🇧 🇩🇪 🇨🇿 🇫🇮

Meteor, poloha: Sunndalsøra 2020-08-12 01:16:06 UTC

Soubor KML  |  InteraktivnĂ­ mapa

Mapa zobrazuje dráhy meteoru. Světlejší čáry ukazují směry od pozorovacích stanic při objevení se meteoru a tmavší čáry, kde byl naposledy viděn. Modrá šipka značí viditelnou dráhu meteoru.

static map
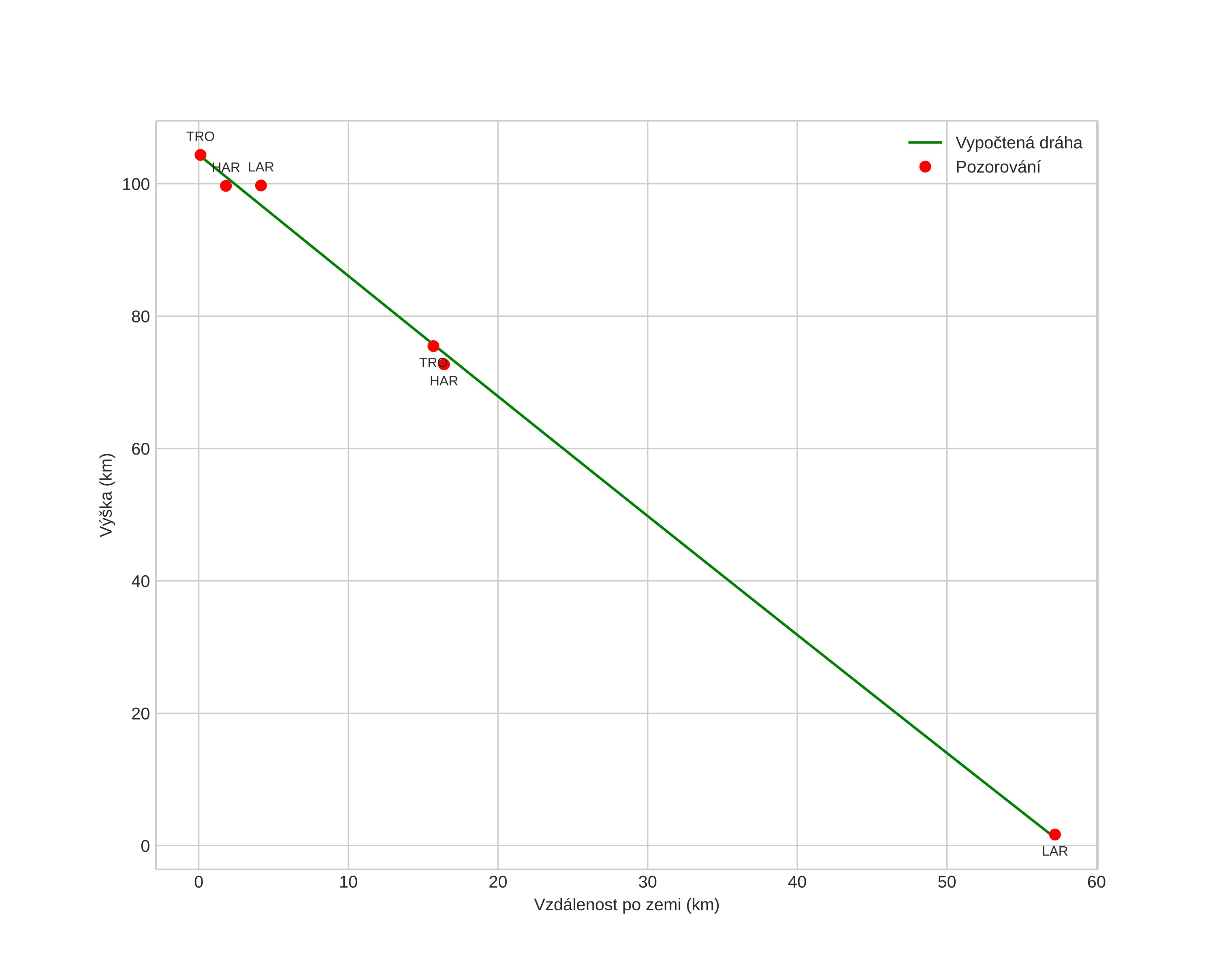
height profile
Atmosférická dráha meteoru:
Počáteční výška: 113,7 km
Konečná výška: 64,0 km
Počáteční poloha: 62,510N 8,839E
Konečná poloha: 62,439N 8,320E
Směr: 253,8°
Sklon: 60,8°
VstupnĂ­ rychlost: 67,7 km/s
Rektascenze radiantu: 03:09 (47,3°)
Deklinace radiantu: 56,7°
MeteorickĂ˝ roj: Perseidy
Elementy dráhy meteoroidu:
Vzdálenost v periheliu: 0,967 AU
Excentricita: 1,553
Sklon dráhy: 119,0°
Délka vzestupného uzlu: 139,5°
Argument perihelia: 157,5°
Střední anomálie: 6,0°
Epocha: 2020 AUG 12 01:16:06
orbit plot

NeinteraktivnĂ­ graf | InteraktivnĂ­ graf

position vs time
speed and acceleration