🇳🇴 🇬🇧 🇩🇪 🇨🇿 🇫🇮

Meteor Sunndalsøran yllä 2020-08-12 01:16:06 UTC

KML-tiedosto  |  Interaktiivinen kartta

Kartta näyttää meteorin suuntahavainnot. Vaaleammat viivat näyttävät suunnat havaintoasemilta meteorin ilmestyessä, ja tummemmat viivat näyttävät, missä se viimeksi nähtiin. Sininen nuoli näyttää meteorin näkyvän lennon.

static map
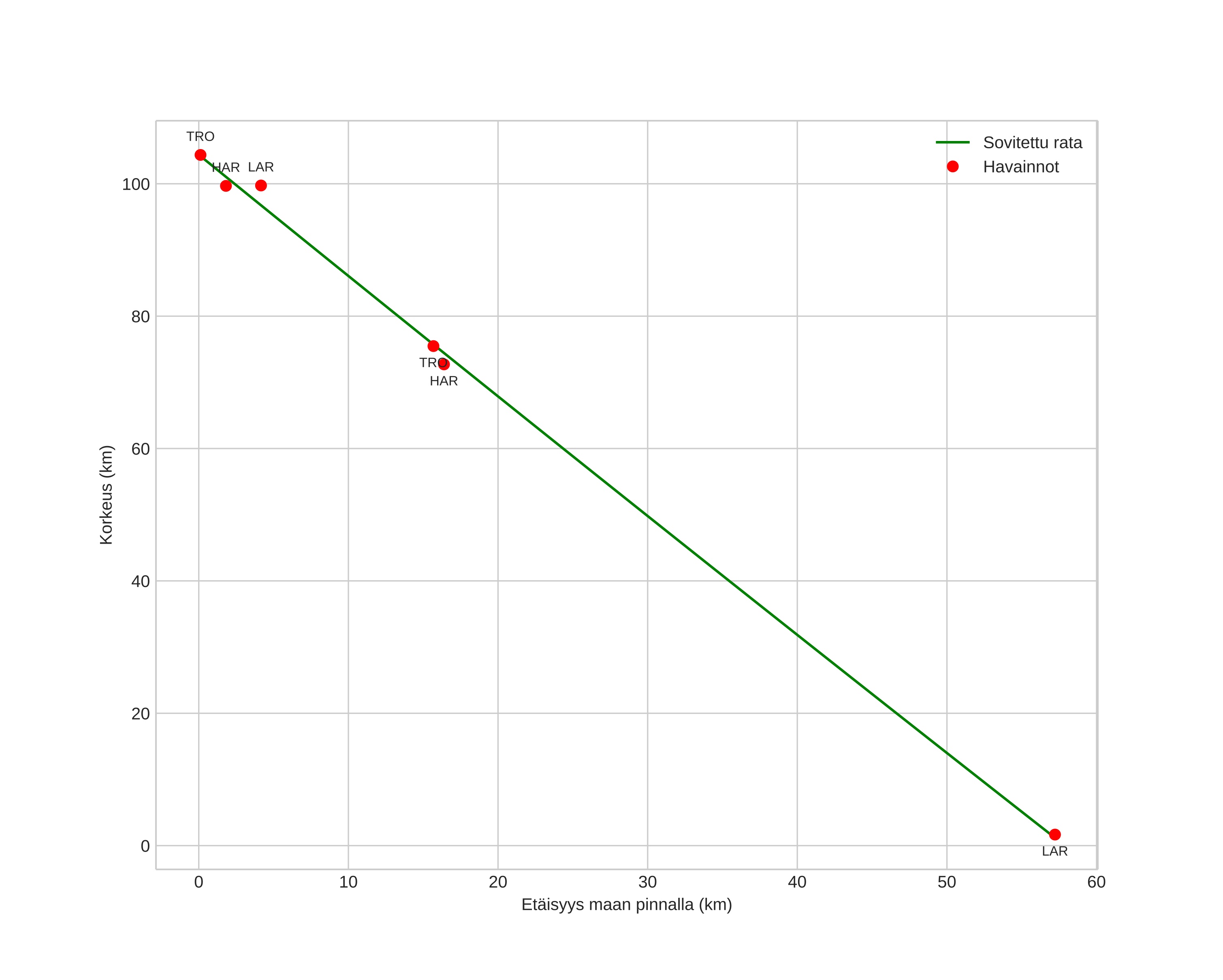
height profile
Meteorin ilmakehärata:
Alkukorkeus: 113,7 km
Loppukorkeus: 64,0 km
Alkupiste: 62,510N 8,839E
Loppupiste: 62,439N 8,320E
Suunta: 253,8°
Kallistuskulma: 60,8°
Tulonopeus: 67,7 km/s
Radiantin R,A,: 03:09 (47,3°)
Radiantin Dekl,: 56,7°
Meteoriparvi: Perseidit
Meteoroidin rataelementit:
Perihelietäisyys: 0,967 AU
Eksentrisyys: 1,553
Inklinaatio: 119,0°
Nousevan solmun pituus: 139,5°
Perihelin argumentti: 157,5°
Keskianomalia: 6,0°
Epookki: 2020 AUG 12 01:16:06
orbit plot

Ei-interaktiivinen kuvaaja | Interaktiivinen kuvaaja

position vs time
speed and acceleration