🇳🇴 🇬🇧 🇩🇪 🇨🇿 🇫🇮

Meteor, poloha: Malung 2020-08-12 21:34:05 UTC

Soubor KML  |  InteraktivnĂ­ mapa

Mapa zobrazuje dráhy meteoru. Světlejší čáry ukazují směry od pozorovacích stanic při objevení se meteoru a tmavší čáry, kde byl naposledy viděn. Modrá šipka značí viditelnou dráhu meteoru.

static map
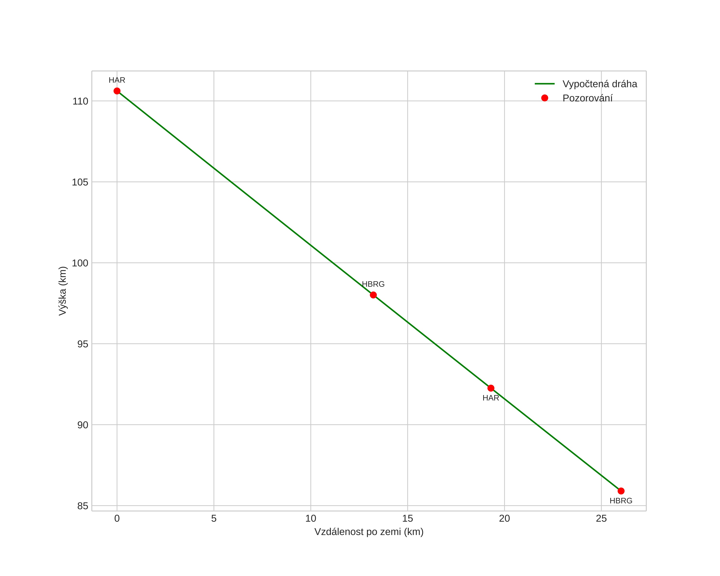
height profile
Atmosférická dráha meteoru:
Počáteční výška: 108,6 km
Konečná výška: 86,1 km
Počáteční poloha: 60,941N 13,321E
Konečná poloha: 60,769N 13,095E
Směr: 212,7°
Sklon: 44,7°
VstupnĂ­ rychlost: 51,0 km/s
Rektascenze radiantu: 03:36 (54,2°)
Deklinace radiantu: 64,6°
MeteorickĂ˝ roj: Perseidy
Elementy dráhy meteoroidu:
Vzdálenost v periheliu: 0,871 AU
Excentricita: 0,586
Sklon dráhy: 97,5°
Délka vzestupného uzlu: 140,3°
Argument perihelia: 128,4°
Střední anomálie: 12,1°
Epocha: 2020 AUG 12 21:34:05
orbit plot

NeinteraktivnĂ­ graf | InteraktivnĂ­ graf

position vs time
speed and acceleration