🇳🇴 🇬🇧 🇩🇪 🇨🇿 🇫🇮

Meteor Malungin yllä 2020-08-12 21:34:05 UTC

KML-tiedosto  |  Interaktiivinen kartta

Kartta näyttää meteorin suuntahavainnot. Vaaleammat viivat näyttävät suunnat havaintoasemilta meteorin ilmestyessä, ja tummemmat viivat näyttävät, missä se viimeksi nähtiin. Sininen nuoli näyttää meteorin näkyvän lennon.

static map
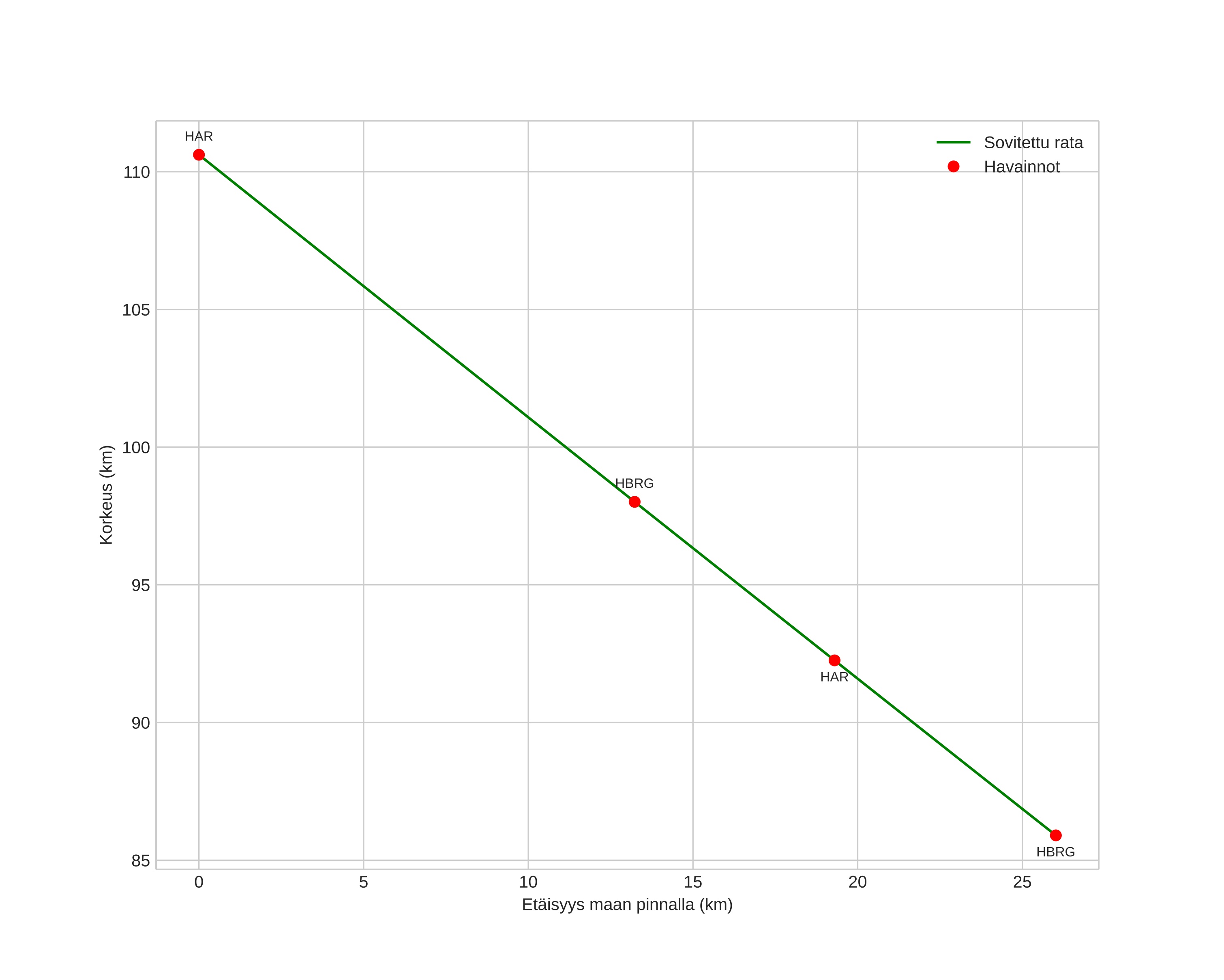
height profile
Meteorin ilmakehärata:
Alkukorkeus: 108,6 km
Loppukorkeus: 86,1 km
Alkupiste: 60,941N 13,321E
Loppupiste: 60,769N 13,095E
Suunta: 212,7°
Kallistuskulma: 44,7°
Tulonopeus: 51,0 km/s
Radiantin R,A,: 03:36 (54,2°)
Radiantin Dekl,: 64,6°
Meteoriparvi: Perseidit
Meteoroidin rataelementit:
Perihelietäisyys: 0,871 AU
Eksentrisyys: 0,586
Inklinaatio: 97,5°
Nousevan solmun pituus: 140,3°
Perihelin argumentti: 128,4°
Keskianomalia: 12,1°
Epookki: 2020 AUG 12 21:34:05
orbit plot

Ei-interaktiivinen kuvaaja | Interaktiivinen kuvaaja

position vs time
speed and acceleration