🇳🇴 🇬🇧 🇩🇪 🇨🇿 🇫🇮

Meteor, poloha: Kirkenær 2020-08-12 21:52:53 UTC

Soubor KML  |  InteraktivnĂ­ mapa

Mapa zobrazuje dráhy meteoru. Světlejší čáry ukazují směry od pozorovacích stanic při objevení se meteoru a tmavší čáry, kde byl naposledy viděn. Modrá šipka značí viditelnou dráhu meteoru.

static map
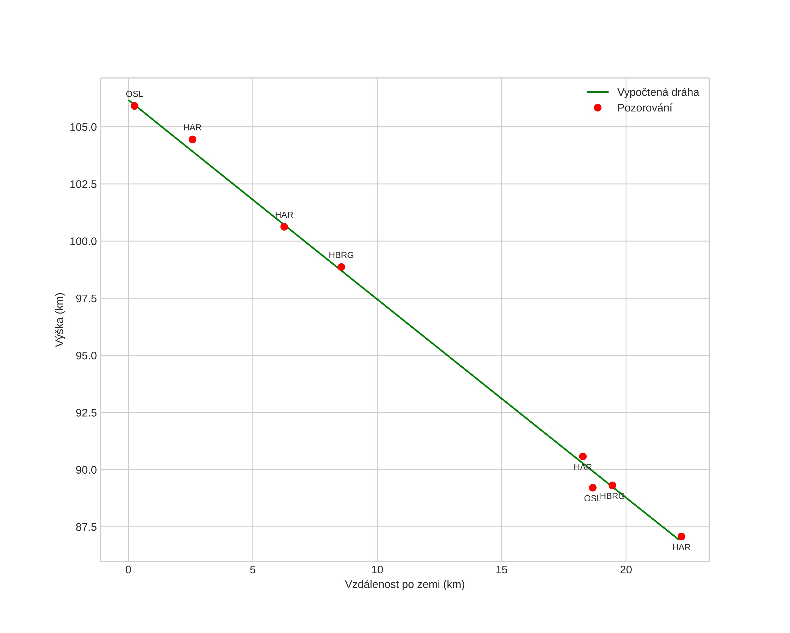
height profile
Atmosférická dráha meteoru:
Počáteční výška: 107,1 km
Konečná výška: 87,6 km
Počáteční poloha: 60,562N 12,312E
Konečná poloha: 60,402N 12,065E
Směr: 217,4°
Sklon: 41,1°
VstupnĂ­ rychlost: 50,1 km/s
Rektascenze radiantu: 03:44 (56,1°)
Deklinace radiantu: 59,7°
MeteorickĂ˝ roj: Perseidy
Elementy dráhy meteoroidu:
Vzdálenost v periheliu: 0,785 AU
Excentricita: 0,434
Sklon dráhy: 102,4°
Délka vzestupného uzlu: 140,3°
Argument perihelia: 104,8°
Střední anomálie: 32,1°
Epocha: 2020 AUG 12 21:52:53
orbit plot

NeinteraktivnĂ­ graf | InteraktivnĂ­ graf

position vs time
speed and acceleration