🇳🇴 🇬🇧 🇩🇪 🇨🇿 🇫🇮

Meteor Kirkenærin yllä 2020-08-12 21:52:53 UTC

KML-tiedosto  |  Interaktiivinen kartta

Kartta näyttää meteorin suuntahavainnot. Vaaleammat viivat näyttävät suunnat havaintoasemilta meteorin ilmestyessä, ja tummemmat viivat näyttävät, missä se viimeksi nähtiin. Sininen nuoli näyttää meteorin näkyvän lennon.

static map
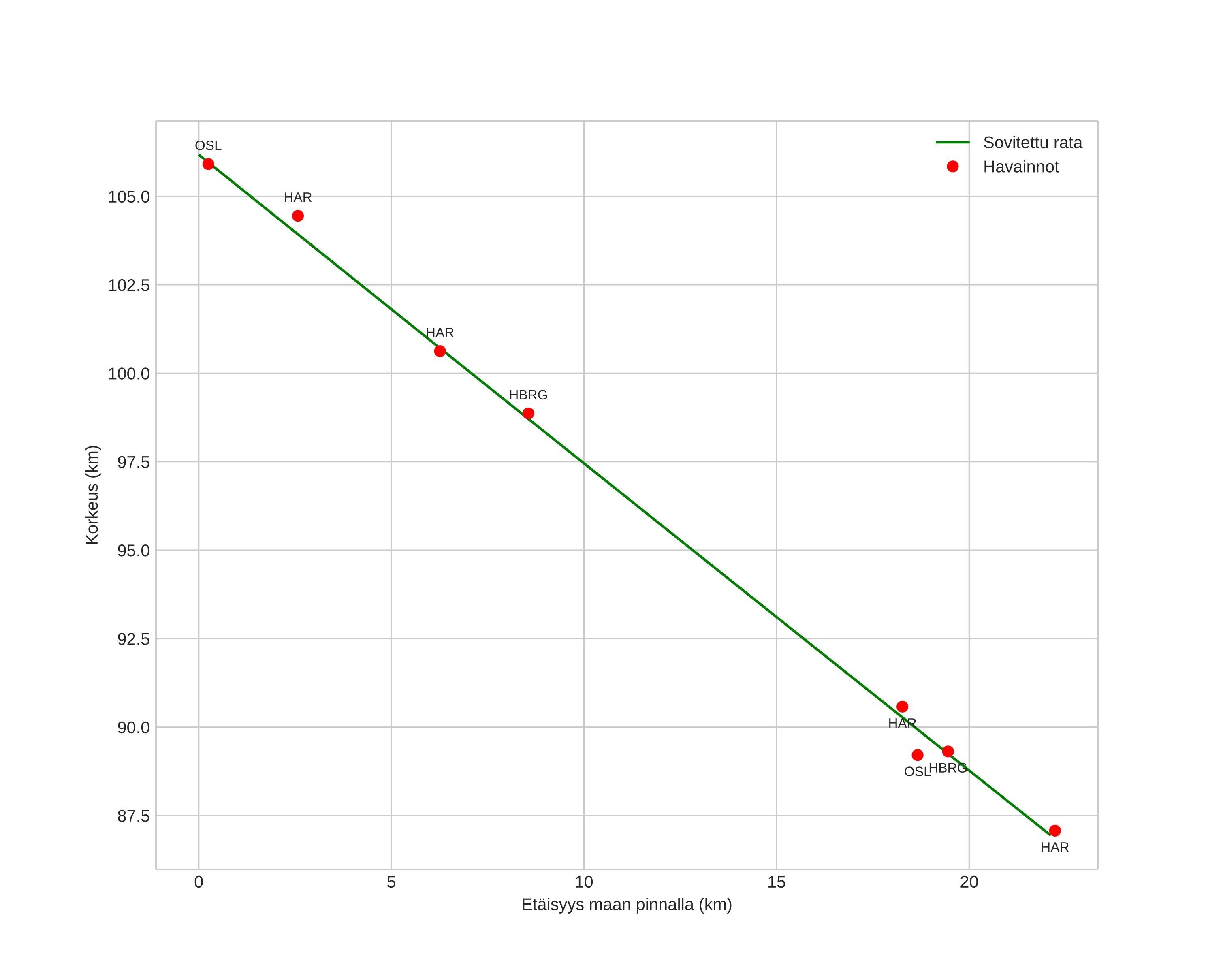
height profile
Meteorin ilmakehärata:
Alkukorkeus: 107,1 km
Loppukorkeus: 87,6 km
Alkupiste: 60,562N 12,312E
Loppupiste: 60,402N 12,065E
Suunta: 217,4°
Kallistuskulma: 41,1°
Tulonopeus: 50,1 km/s
Radiantin R,A,: 03:44 (56,1°)
Radiantin Dekl,: 59,7°
Meteoriparvi: Perseidit
Meteoroidin rataelementit:
Perihelietäisyys: 0,785 AU
Eksentrisyys: 0,434
Inklinaatio: 102,4°
Nousevan solmun pituus: 140,3°
Perihelin argumentti: 104,8°
Keskianomalia: 32,1°
Epookki: 2020 AUG 12 21:52:53
orbit plot

Ei-interaktiivinen kuvaaja | Interaktiivinen kuvaaja

position vs time
speed and acceleration