🇳🇴 🇬🇧 🇩🇪 🇨🇿 🇫🇮

Meteor, poloha: Hjelmelandsvågen 2020-08-12 22:02:25 UTC

Soubor KML

Mapa zobrazuje dráhy meteoru. Světlejší čáry ukazují směry od pozorovacích stanic při objevení se meteoru a tmavší čáry, kde byl naposledy viděn. Modrá šipka značí viditelnou dráhu meteoru.

static map
height profile
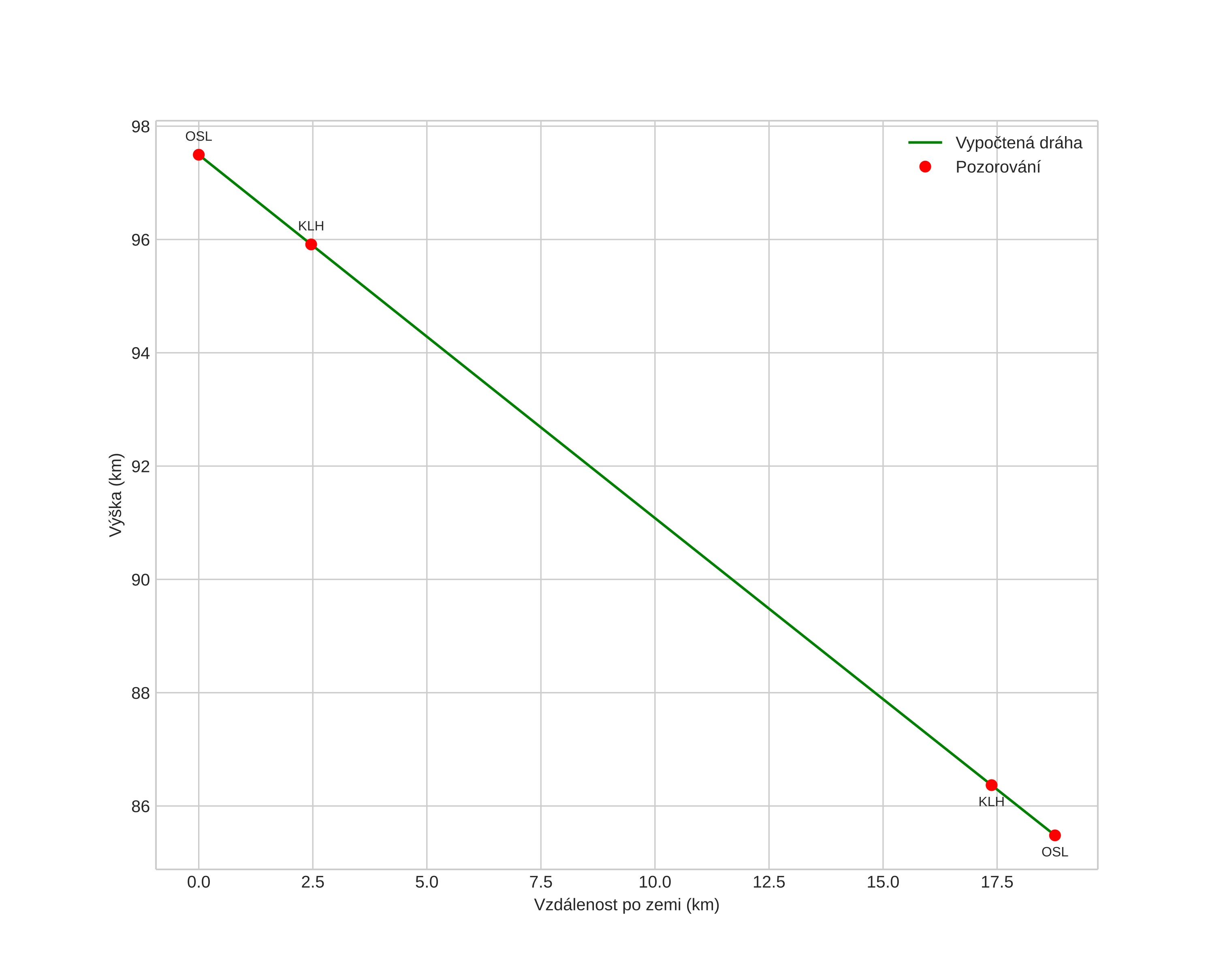
Atmosférická dráha meteoru:
Počáteční výška: 97,5 km
Konečná výška: 85,5 km
Počáteční poloha: 59,289N 6,742E
Konečná poloha: 59,168N 6,511E
Směr: 224,3°
Sklon: 32,6°
Vstupní rychlost: 63,0 km/s
Rektascenze radiantu: 03:26 (51,7°)
Deklinace radiantu: 50,1°
Meteorický roj: Perseidy
Elementy dráhy meteoroidu:
Vzdálenost v periheliu: 0,931 AU
Excentricita: 0,857
Sklon dráhy: 126,2°
Délka vzestupného uzlu: 140,4°
Argument perihelia: 145,4°
Střední anomálie: 1,4°
Epocha: 2020 AUG 12 22:02:25
orbit plot

Neinteraktivní graf

position vs time
speed and acceleration