🇳🇴 🇬🇧 🇩🇪 🇨🇿 🇫🇮

Meteor Hjelmelandsvågenin yllä 2020-08-12 22:02:25 UTC

KML-tiedosto  |  Interaktiivinen kartta

Kartta näyttää meteorin suuntahavainnot. Vaaleammat viivat näyttävät suunnat havaintoasemilta meteorin ilmestyessä, ja tummemmat viivat näyttävät, missä se viimeksi nähtiin. Sininen nuoli näyttää meteorin näkyvän lennon.

static map
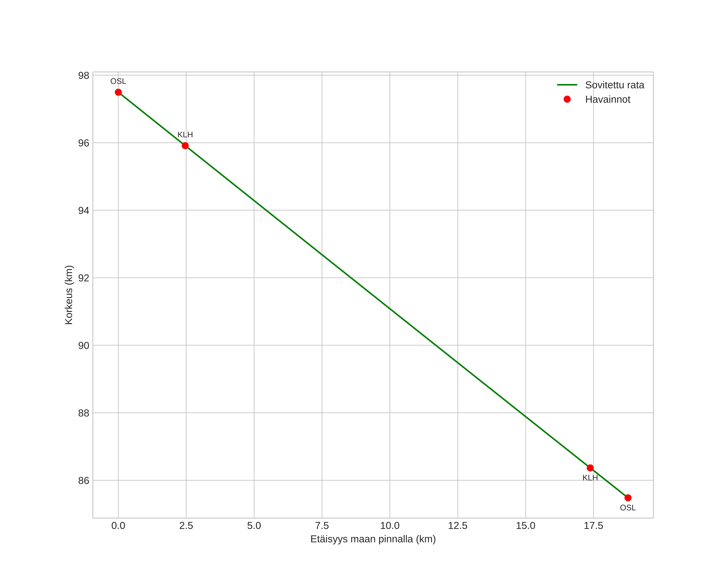
height profile
Meteorin ilmakehärata:
Alkukorkeus: 97,6 km
Loppukorkeus: 85,4 km
Alkupiste: 59,290N 6,744E
Loppupiste: 59,168N 6,505E
Suunta: 225,2°
Kallistuskulma: 32,4°
Tulonopeus: 63,3 km/s
Radiantin R,A,: 03:23 (50,9°)
Radiantin Dekl,: 49,6°
Meteoriparvi: Perseidit
Meteoroidin rataelementit:
Perihelietäisyys: 0,939 AU
Eksentrisyys: 0,857
Inklinaatio: 127,1°
Nousevan solmun pituus: 140,4°
Perihelin argumentti: 147,4°
Keskianomalia: 1,4°
Epookki: 2020 AUG 12 22:02:25
orbit plot

Ei-interaktiivinen kuvaaja | Interaktiivinen kuvaaja

position vs time
speed and acceleration