🇳🇴 🇬🇧 🇩🇪 🇨🇿 🇫🇮

Meteor, poloha: Lervik 2020-08-12 22:58:43 UTC

Soubor KML  |  InteraktivnĂ­ mapa

Mapa zobrazuje dráhy meteoru. Světlejší čáry ukazují směry od pozorovacích stanic při objevení se meteoru a tmavší čáry, kde byl naposledy viděn. Modrá šipka značí viditelnou dráhu meteoru.

static map
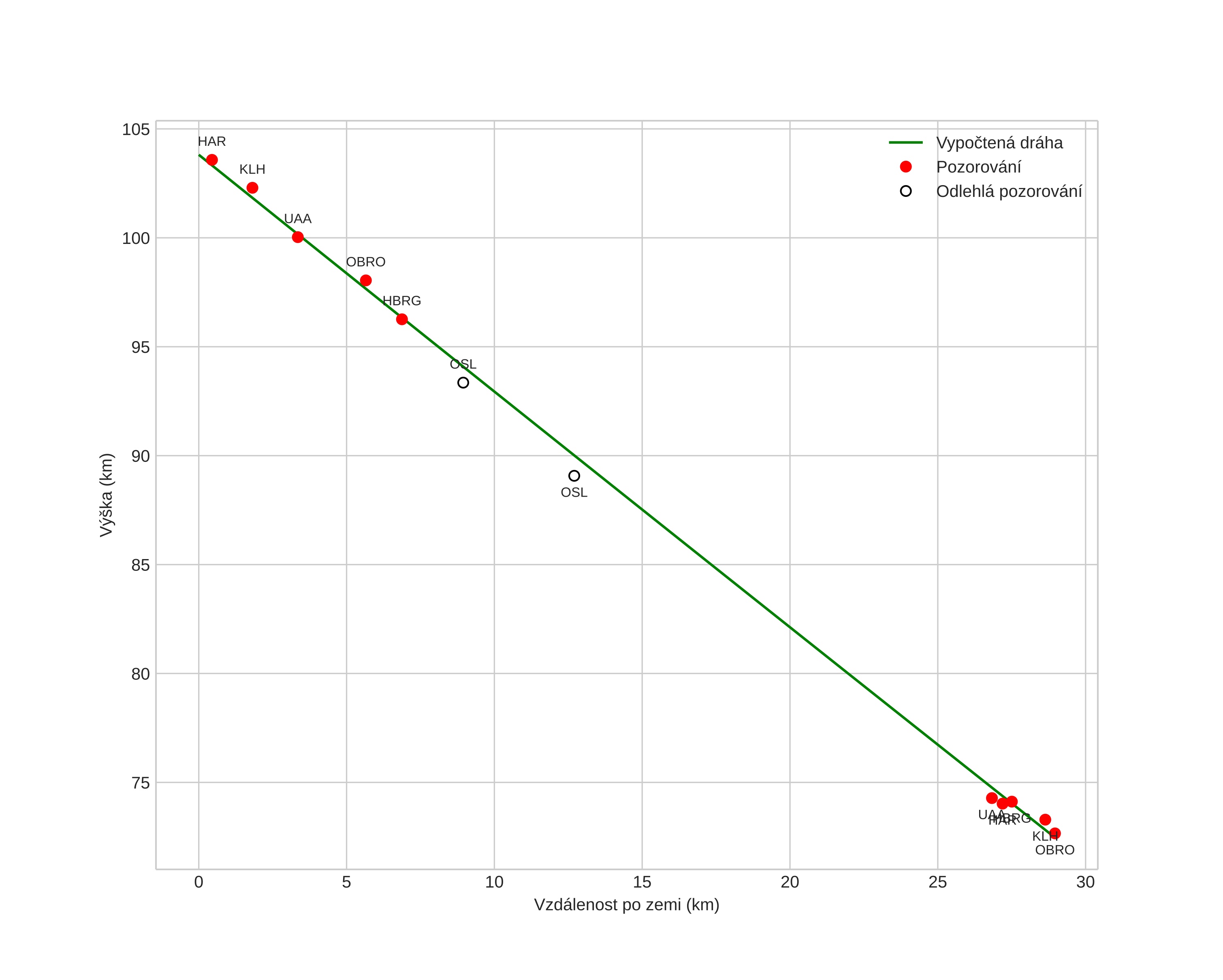
height profile
Atmosférická dráha meteoru:
Počáteční výška: 104,8 km
Konečná výška: 72,8 km
Počáteční poloha: 59,205N 11,122E
Konečná poloha: 59,036N 10,724E
Směr: 230,5°
Sklon: 47,3°
VstupnĂ­ rychlost: 58,7 km/s
Rektascenze radiantu: 03:07 (46,9°)
Deklinace radiantu: 58,3°
MeteorickĂ˝ roj: Perseidy
Elementy dráhy meteoroidu:
Vzdálenost v periheliu: 0,955 AU
Excentricita: 0,833
Sklon dráhy: 111,7°
Délka vzestupného uzlu: 140,4°
Argument perihelia: 150,8°
Střední anomálie: 1,5°
Epocha: 2020 AUG 12 22:58:43
orbit plot

NeinteraktivnĂ­ graf | InteraktivnĂ­ graf

position vs time
speed and acceleration