🇳🇴 🇬🇧 🇩🇪 🇨🇿 🇫🇮

Meteor Lervikin yllä 2020-08-12 22:58:43 UTC

KML-tiedosto  |  Interaktiivinen kartta

Kartta näyttää meteorin suuntahavainnot. Vaaleammat viivat näyttävät suunnat havaintoasemilta meteorin ilmestyessä, ja tummemmat viivat näyttävät, missä se viimeksi nähtiin. Sininen nuoli näyttää meteorin näkyvän lennon.

static map
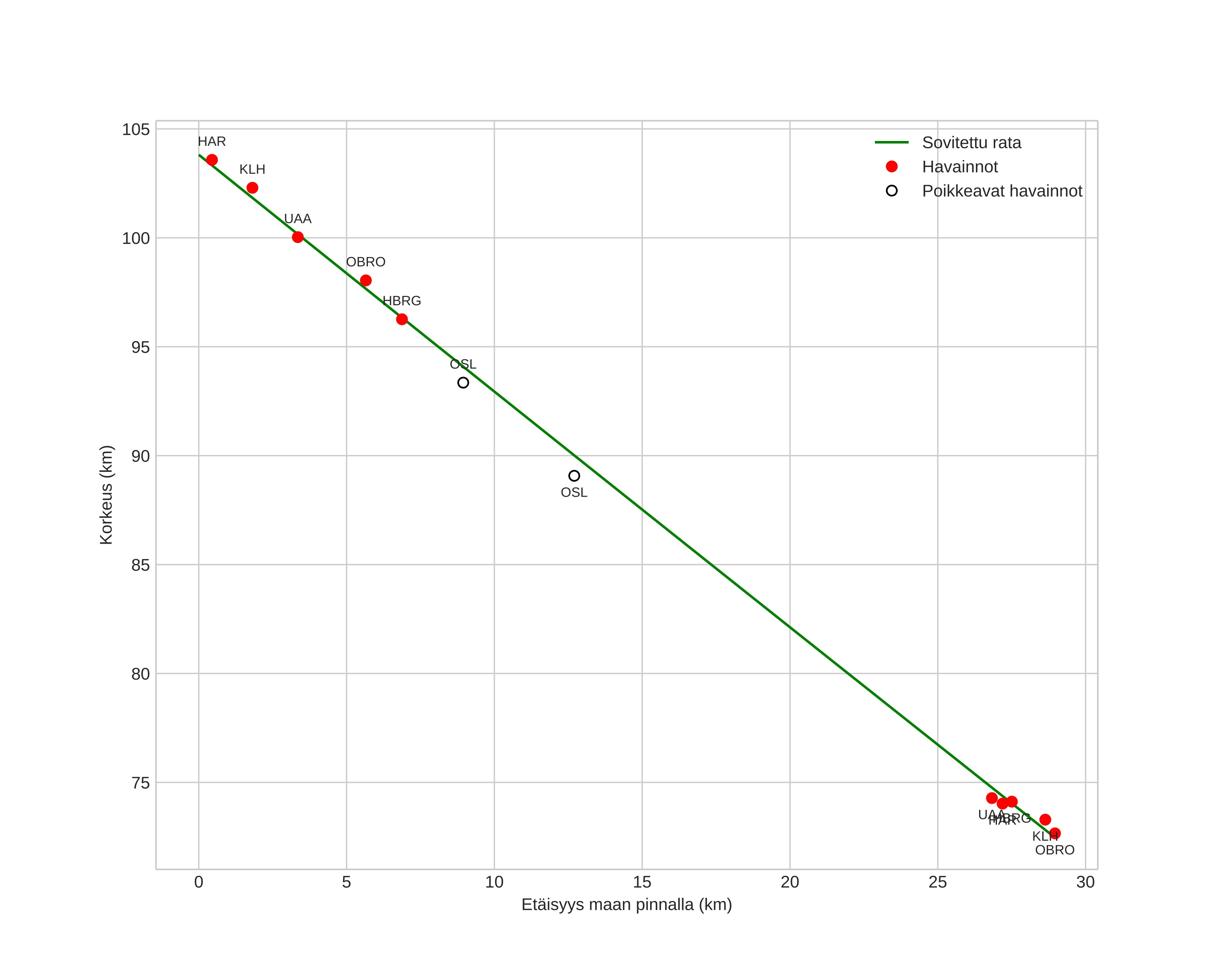
height profile
Meteorin ilmakehärata:
Alkukorkeus: 104,8 km
Loppukorkeus: 72,8 km
Alkupiste: 59,205N 11,122E
Loppupiste: 59,036N 10,724E
Suunta: 230,5°
Kallistuskulma: 47,3°
Tulonopeus: 58,7 km/s
Radiantin R,A,: 03:07 (46,9°)
Radiantin Dekl,: 58,3°
Meteoriparvi: Perseidit
Meteoroidin rataelementit:
Perihelietäisyys: 0,955 AU
Eksentrisyys: 0,833
Inklinaatio: 111,7°
Nousevan solmun pituus: 140,4°
Perihelin argumentti: 150,8°
Keskianomalia: 1,5°
Epookki: 2020 AUG 12 22:58:43
orbit plot

Ei-interaktiivinen kuvaaja | Interaktiivinen kuvaaja

position vs time
speed and acceleration