🇳🇴 🇬🇧 🇩🇪 🇨🇿 🇫🇮

Meteor, poloha: Innbygda 2020-08-13 00:40:18 UTC

Soubor KML  |  InteraktivnĂ­ mapa

Mapa zobrazuje dráhy meteoru. Světlejší čáry ukazují směry od pozorovacích stanic při objevení se meteoru a tmavší čáry, kde byl naposledy viděn. Modrá šipka značí viditelnou dráhu meteoru.

static map
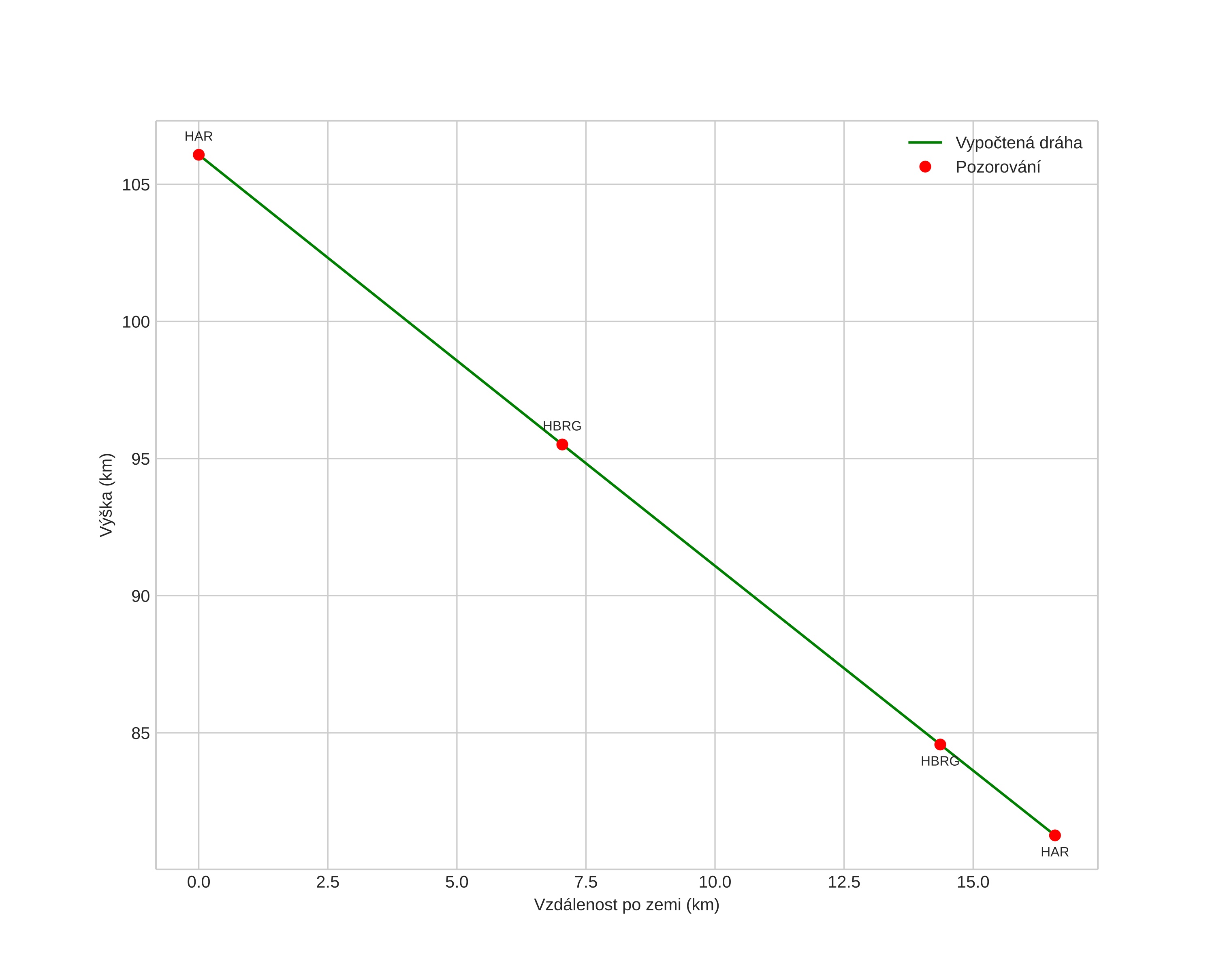
height profile
Atmosférická dráha meteoru:
Počáteční výška: 107,3 km
Konečná výška: 82,0 km
Počáteční poloha: 61,337N 12,093E
Konečná poloha: 61,255N 11,829E
Směr: 236,9°
Sklon: 56,4°
VstupnĂ­ rychlost: 71,8 km/s
Rektascenze radiantu: 03:49 (57,5°)
Deklinace radiantu: 61,1°
MeteorickĂ˝ roj: sporadickĂ˝
Elementy dráhy meteoroidu:
Vzdálenost v periheliu: 0,928 AU
Excentricita: 2,166
Sklon dráhy: 115,7°
Délka vzestupného uzlu: 140,5°
Argument perihelia: 151,3°
Střední anomálie: 21,5°
Epocha: 2020 AUG 13 00:40:18
orbit plot

NeinteraktivnĂ­ graf | InteraktivnĂ­ graf

position vs time
speed and acceleration