🇳🇴 🇬🇧 🇩🇪 🇨🇿 🇫🇮

Meteor Innbygdan yllä 2020-08-13 00:40:18 UTC

KML-tiedosto  |  Interaktiivinen kartta

Kartta näyttää meteorin suuntahavainnot. Vaaleammat viivat näyttävät suunnat havaintoasemilta meteorin ilmestyessä, ja tummemmat viivat näyttävät, missä se viimeksi nähtiin. Sininen nuoli näyttää meteorin näkyvän lennon.

static map
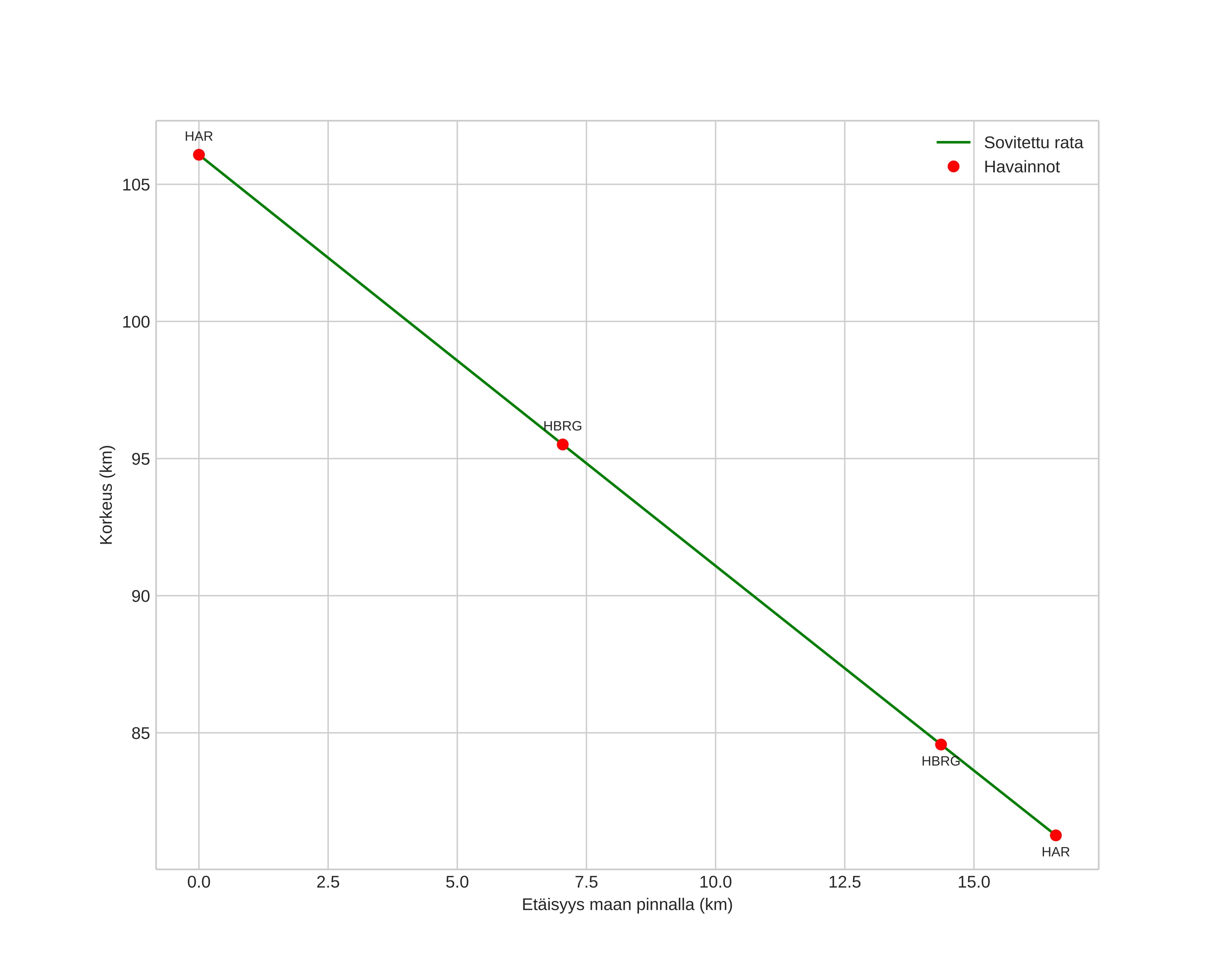
height profile
Meteorin ilmakehärata:
Alkukorkeus: 107,3 km
Loppukorkeus: 82,0 km
Alkupiste: 61,337N 12,093E
Loppupiste: 61,255N 11,829E
Suunta: 236,9°
Kallistuskulma: 56,4°
Tulonopeus: 71,8 km/s
Radiantin R,A,: 03:49 (57,5°)
Radiantin Dekl,: 61,1°
Meteoriparvi: Sporadinen
Meteoroidin rataelementit:
Perihelietäisyys: 0,928 AU
Eksentrisyys: 2,166
Inklinaatio: 115,7°
Nousevan solmun pituus: 140,5°
Perihelin argumentti: 151,3°
Keskianomalia: 21,5°
Epookki: 2020 AUG 13 00:40:18
orbit plot

Ei-interaktiivinen kuvaaja | Interaktiivinen kuvaaja

position vs time
speed and acceleration