🇳🇴 🇬🇧 🇩🇪 🇨🇿 🇫🇮

Meteor, poloha: Hvittingfoss 2020-08-14 01:34:17 UTC

Soubor KML  |  InteraktivnĂ­ mapa

Mapa zobrazuje dráhy meteoru. Světlejší čáry ukazují směry od pozorovacích stanic při objevení se meteoru a tmavší čáry, kde byl naposledy viděn. Modrá šipka značí viditelnou dráhu meteoru.

static map
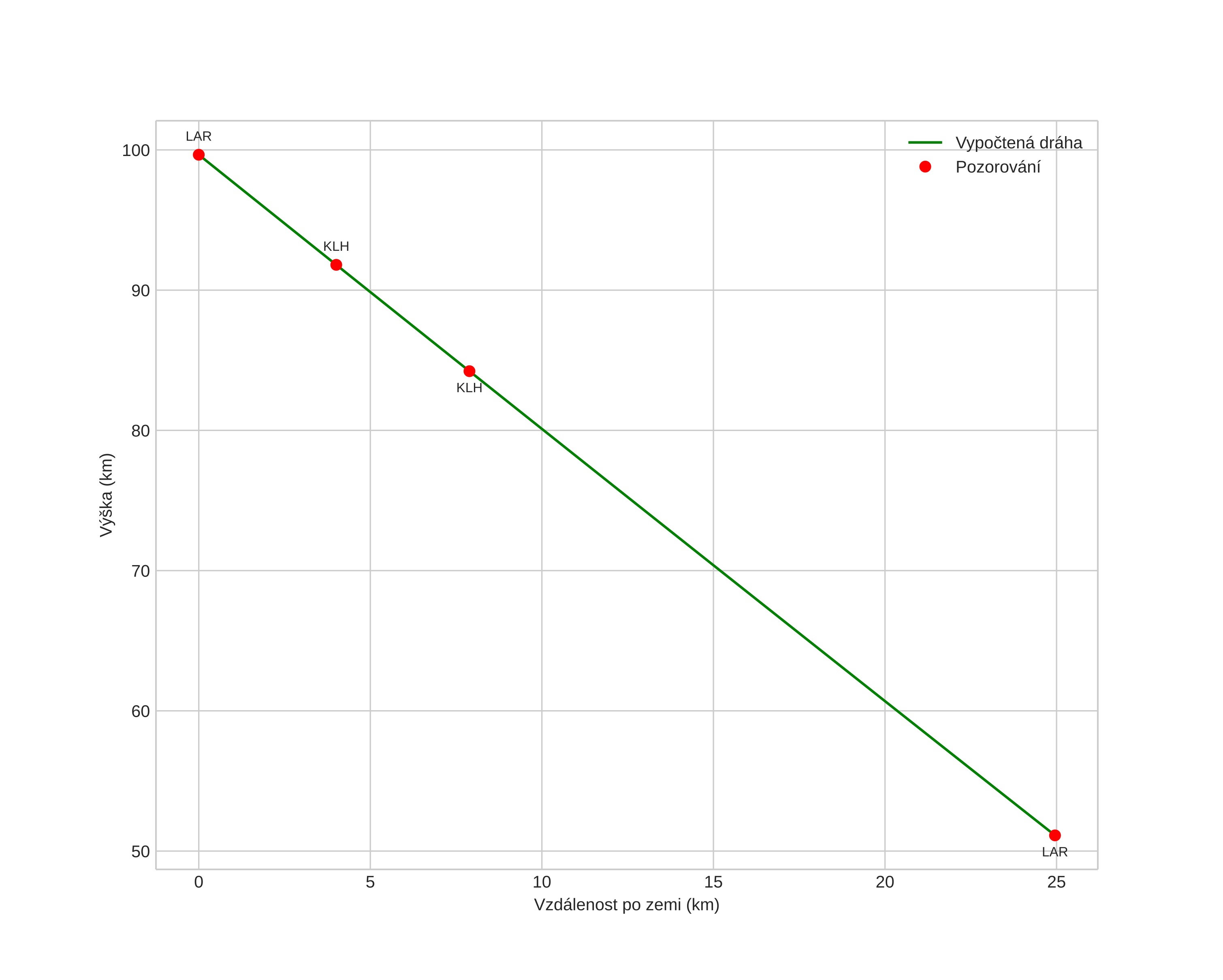
height profile
Atmosférická dráha meteoru:
Počáteční výška: 100,5 km
Konečná výška: 77,2 km
Počáteční poloha: 59,317N 10,152E
Konečná poloha: 59,279N 9,957E
Směr: 248,8°
Sklon: 63,0°
VstupnĂ­ rychlost: 58,6 km/s
Rektascenze radiantu: 03:18 (49,7°)
Deklinace radiantu: 58,1°
MeteorickĂ˝ roj: Perseidy
Elementy dráhy meteoroidu:
Vzdálenost v periheliu: 0,945 AU
Excentricita: 0,808
Sklon dráhy: 112,4°
Délka vzestupného uzlu: 141,5°
Argument perihelia: 148,2°
Střední anomálie: 2,1°
Epocha: 2020 AUG 14 01:34:17
orbit plot

NeinteraktivnĂ­ graf | InteraktivnĂ­ graf

position vs time
speed and acceleration