🇳🇴 🇬🇧 🇩🇪 🇨🇿 🇫🇮

Meteor Hvittingfossin yllä 2020-08-14 01:34:17 UTC

KML-tiedosto  |  Interaktiivinen kartta

Kartta näyttää meteorin suuntahavainnot. Vaaleammat viivat näyttävät suunnat havaintoasemilta meteorin ilmestyessä, ja tummemmat viivat näyttävät, missä se viimeksi nähtiin. Sininen nuoli näyttää meteorin näkyvän lennon.

static map
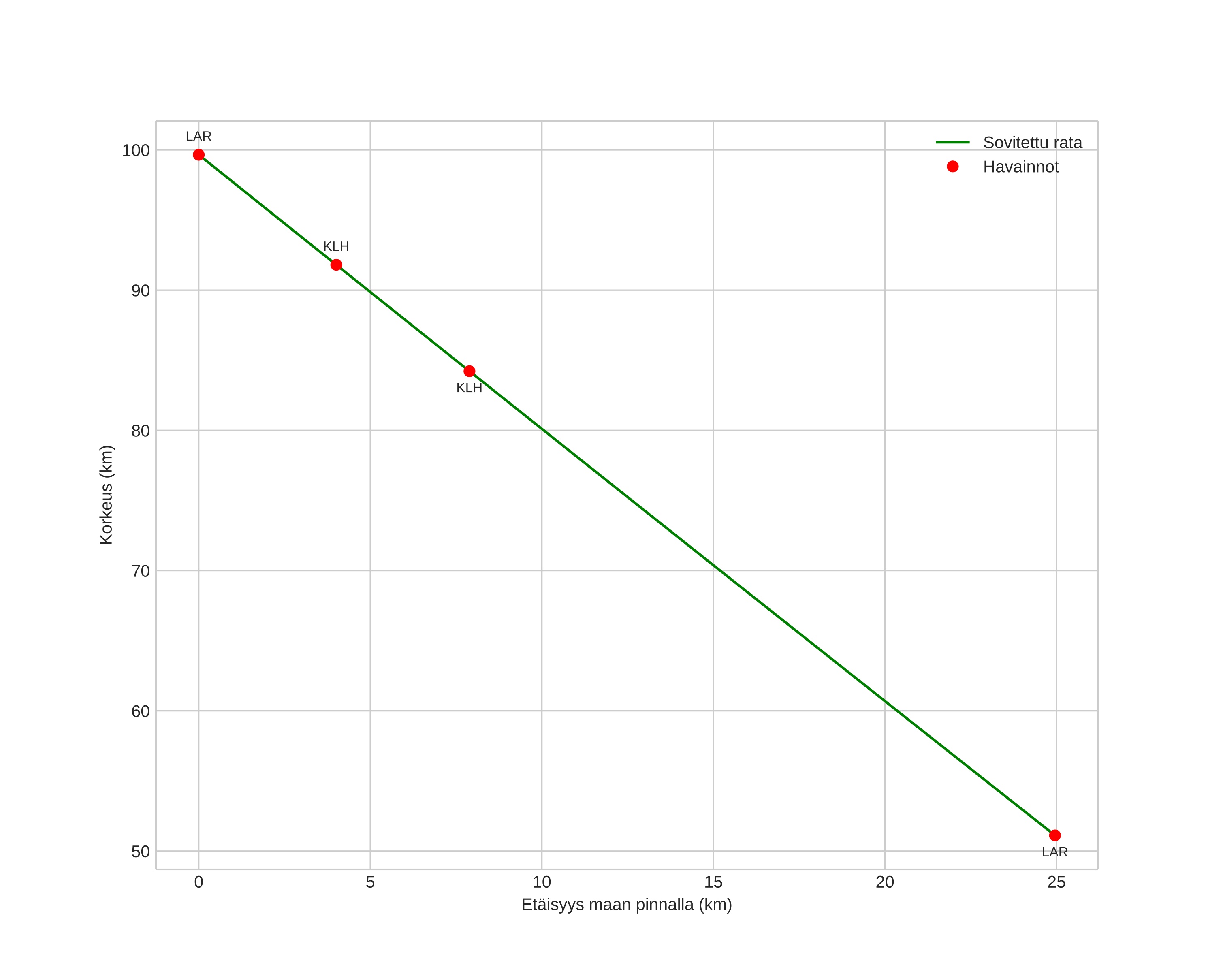
height profile
Meteorin ilmakehärata:
Alkukorkeus: 100,5 km
Loppukorkeus: 77,2 km
Alkupiste: 59,317N 10,152E
Loppupiste: 59,279N 9,957E
Suunta: 248,8°
Kallistuskulma: 63,0°
Tulonopeus: 58,6 km/s
Radiantin R,A,: 03:18 (49,7°)
Radiantin Dekl,: 58,1°
Meteoriparvi: Perseidit
Meteoroidin rataelementit:
Perihelietäisyys: 0,945 AU
Eksentrisyys: 0,808
Inklinaatio: 112,4°
Nousevan solmun pituus: 141,5°
Perihelin argumentti: 148,2°
Keskianomalia: 2,1°
Epookki: 2020 AUG 14 01:34:17
orbit plot

Ei-interaktiivinen kuvaaja | Interaktiivinen kuvaaja

position vs time
speed and acceleration