🇳🇴 🇬🇧 🇩🇪 🇨🇿 🇫🇮

Meteor, poloha: Prestestranda 2020-08-17 00:29:38 UTC

Soubor KML  |  InteraktivnĂ­ mapa

Mapa zobrazuje dráhy meteoru. Světlejší čáry ukazují směry od pozorovacích stanic při objevení se meteoru a tmavší čáry, kde byl naposledy viděn. Modrá šipka značí viditelnou dráhu meteoru.

static map
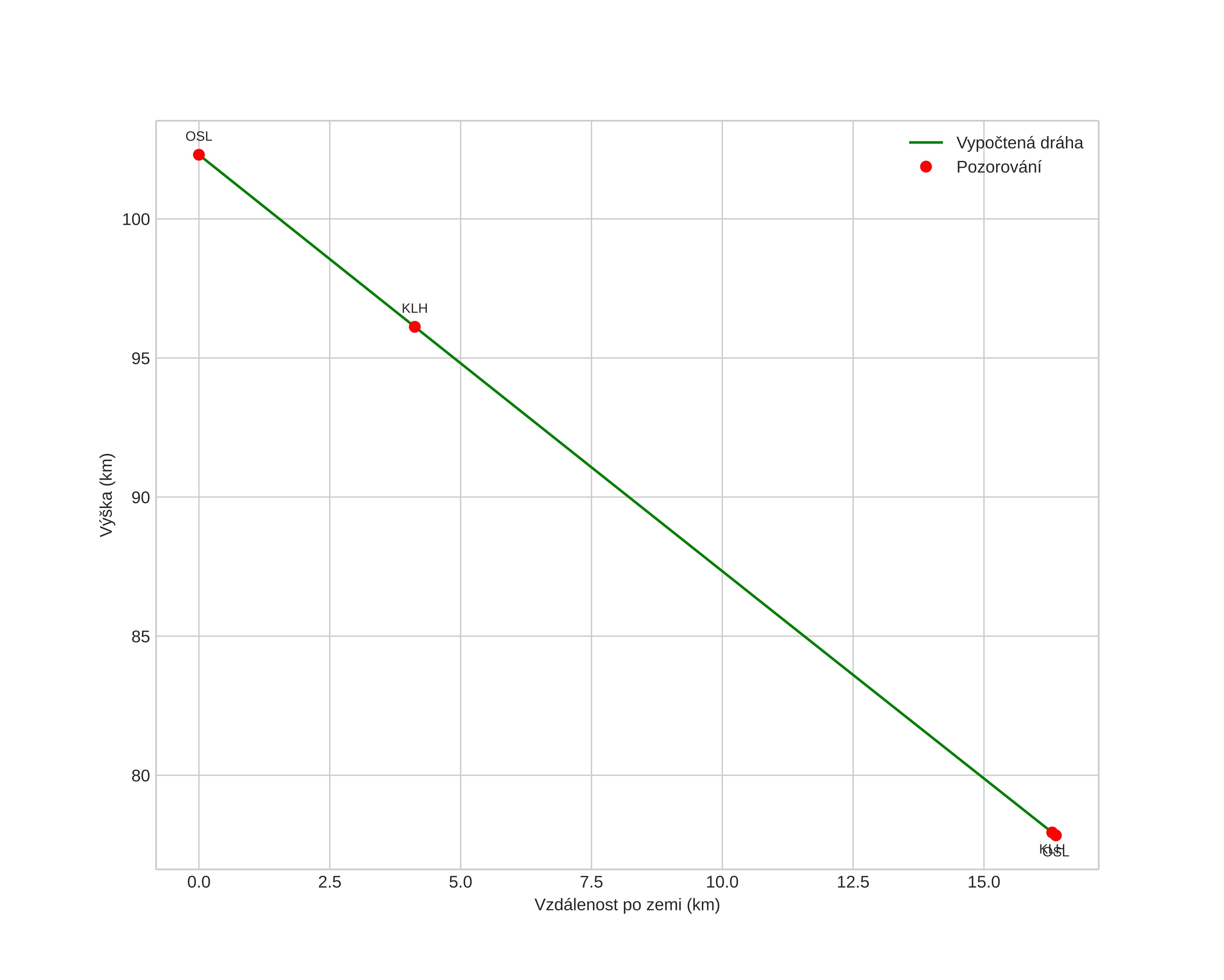
height profile
Atmosférická dráha meteoru:
Počáteční výška: 105,0 km
Konečná výška: 77,7 km
Počáteční poloha: 59,219N 9,328E
Konečná poloha: 59,137N 9,051E
Směr: 240,2°
Sklon: 56,3°
VstupnĂ­ rychlost: 59,4 km/s
Rektascenze radiantu: 03:23 (50,8°)
Deklinace radiantu: 58,7°
MeteorickĂ˝ roj: Perseidy
Elementy dráhy meteoroidu:
Vzdálenost v periheliu: 0,966 AU
Excentricita: 0,856
Sklon dráhy: 112,8°
Délka vzestupného uzlu: 144,3°
Argument perihelia: 154,2°
Střední anomálie: 1,1°
Epocha: 2020 AUG 17 00:29:38
orbit plot

NeinteraktivnĂ­ graf | InteraktivnĂ­ graf

position vs time
speed and acceleration