🇳🇴 🇬🇧 🇩🇪 🇨🇿 🇫🇮

Meteor Prestestrandan yllä 2020-08-17 00:29:38 UTC

KML-tiedosto  |  Interaktiivinen kartta

Kartta näyttää meteorin suuntahavainnot. Vaaleammat viivat näyttävät suunnat havaintoasemilta meteorin ilmestyessä, ja tummemmat viivat näyttävät, missä se viimeksi nähtiin. Sininen nuoli näyttää meteorin näkyvän lennon.

static map
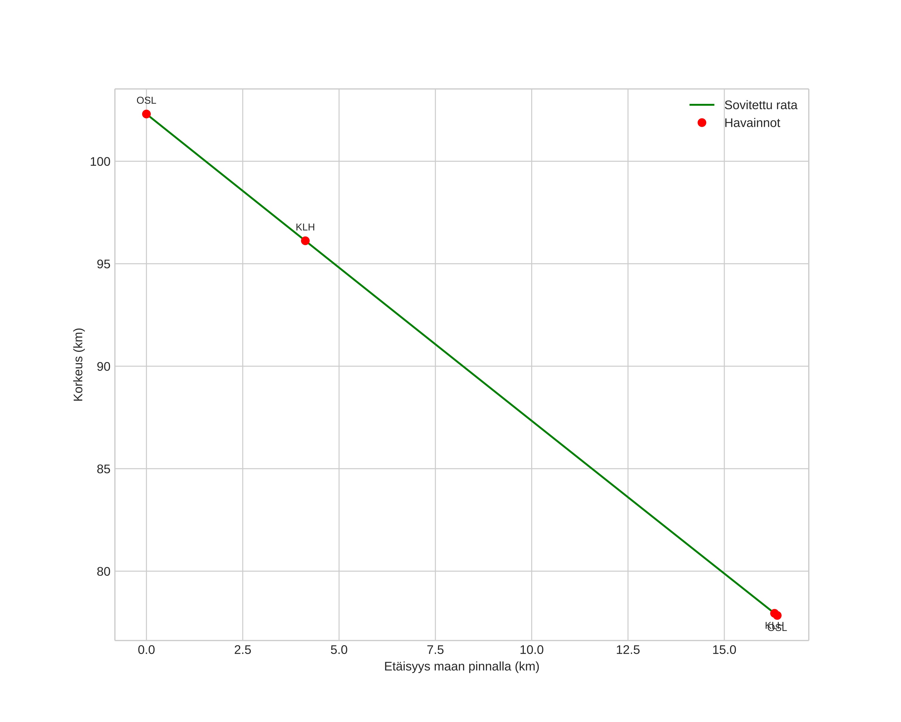
height profile
Meteorin ilmakehärata:
Alkukorkeus: 105,0 km
Loppukorkeus: 77,7 km
Alkupiste: 59,219N 9,328E
Loppupiste: 59,137N 9,051E
Suunta: 240,2°
Kallistuskulma: 56,3°
Tulonopeus: 59,4 km/s
Radiantin R,A,: 03:23 (50,8°)
Radiantin Dekl,: 58,7°
Meteoriparvi: Perseidit
Meteoroidin rataelementit:
Perihelietäisyys: 0,966 AU
Eksentrisyys: 0,856
Inklinaatio: 112,8°
Nousevan solmun pituus: 144,3°
Perihelin argumentti: 154,2°
Keskianomalia: 1,1°
Epookki: 2020 AUG 17 00:29:38
orbit plot

Ei-interaktiivinen kuvaaja | Interaktiivinen kuvaaja

position vs time
speed and acceleration