🇳🇴 🇬🇧 🇩🇪 🇨🇿 🇫🇮

Meteor, poloha: Søgne 2020-08-18 00:17:04 UTC

Soubor KML  |  InteraktivnĂ­ mapa

Mapa zobrazuje dráhy meteoru. Světlejší čáry ukazují směry od pozorovacích stanic při objevení se meteoru a tmavší čáry, kde byl naposledy viděn. Modrá šipka značí viditelnou dráhu meteoru.

static map
height profile
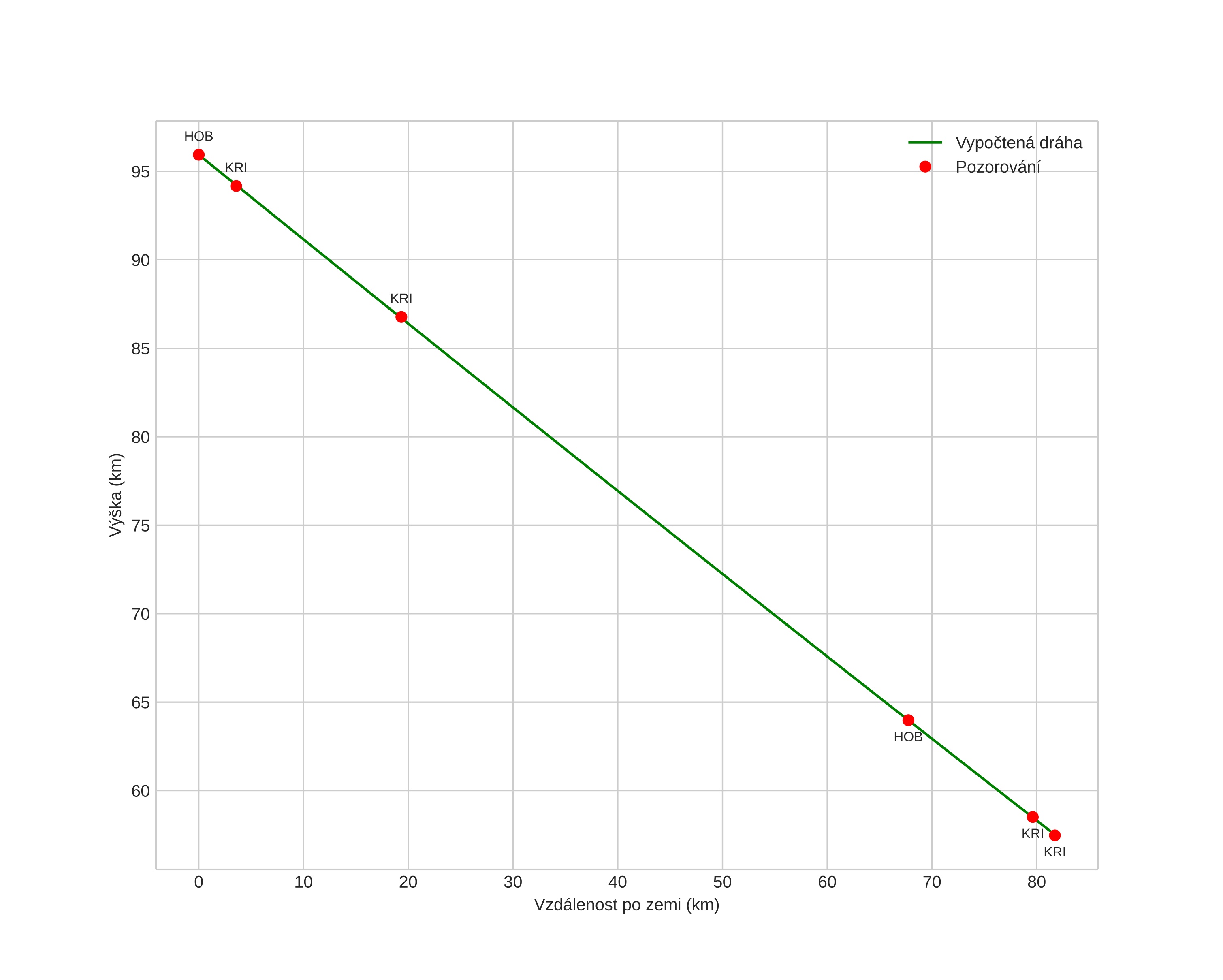
Atmosférická dráha meteoru:
Počáteční výška: 95,9 km
Konečná výška: 58,6 km
Počáteční poloha: 56,829N 7,672E
Konečná poloha: 57,543N 7,731E
Směr: 2,5°
Sklon: 25,1°
VstupnĂ­ rychlost: 34,5 km/s
Rektascenze radiantu: 22:22 (335,6°)
Deklinace radiantu: -10,1°
MeteorickĂ˝ roj: sporadickĂ˝
Elementy dráhy meteoroidu:
Vzdálenost v periheliu: 0,356 AU
Excentricita: 0,967
Sklon dráhy: 0,0°
Délka vzestupného uzlu: 148,1°
Argument perihelia: 285,8°
Střední anomálie: 358,9°
Epocha: 2020 AUG 18 00:17:04
orbit plot

NeinteraktivnĂ­ graf | InteraktivnĂ­ graf

position vs time
speed and acceleration