🇳🇴 🇬🇧 🇩🇪 🇨🇿 🇫🇮

Meteor Søgnen yllä 2020-08-18 00:17:04 UTC

KML-tiedosto

Kartta näyttää meteorin suuntahavainnot. Vaaleammat viivat näyttävät suunnat havaintoasemilta meteorin ilmestyessä, ja tummemmat viivat näyttävät, missä se viimeksi nähtiin. Sininen nuoli näyttää meteorin näkyvän lennon.

static map
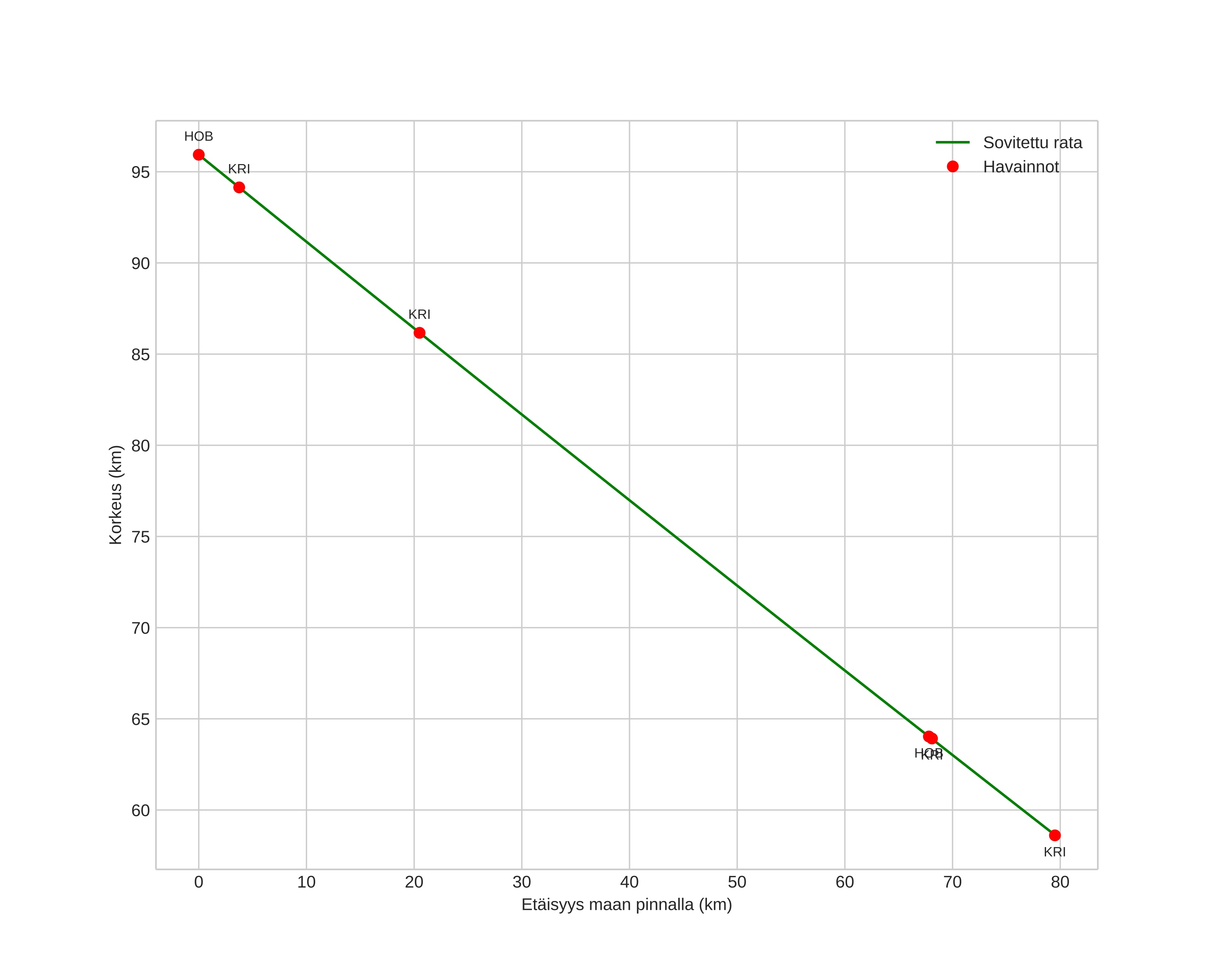
height profile
Meteorens atmosfæriske bane:
Starthøgde: 95,9 km
Slutthøgde: 57,5 km
Startposisjon: 56,829N 7,672E
Sluttposisjon: 57,563N 7,735E
Retning: 2,6°
Fallvinkel: 25,2°
Inngangshastighet: 34,7 km/s
Radiantens rektascensjon: 22:22 (335,6°)
Radiantens deklinasjon: -10,1°
Meteorsverm: sporadisk
Meteoroidens baneelement:
Perihelavstand: 0,355 AU
Eksentrisitet: 0,972
Inklinasjon: 0,1°
Knutelengde: 145,8°
Perihelargument: 288,0°
Midlere anomali: 359,2°
Epoke: 2020 AUG 18 00:17:04
orbit plot

Ei-interaktiivinen kuvaaja

position vs time
speed and acceleration

Kristiansand (KRI) cam1


gnomonic
Videoer
• Gnomonisk
• Gnomonisk med koordinater
• Original
• Original med koordinater
Bilder
• Gnomonisk
• Gnomonisk med koordinater
• Ukorrigert gnomonisk med koordinater
• Gnomonisk med annotering
• Ukorrigert gnomonisk med annotering
• Original
• Original med koordinater
• Original med maske
Tekstfiler
• Deteksjon
• Observasjon
• Koordinater
• Feilmeldinger

Kristiansand (KRI) cam2


gnomonic
Videoer
• Gnomonisk
• Gnomonisk med koordinater
• Original
• Original med koordinater
Bilder
• Gnomonisk
• Gnomonisk med koordinater
• Ukorrigert gnomonisk med koordinater
• Gnomonisk med annotering
• Ukorrigert gnomonisk med annotering
• Original
• Original med koordinater
• Original med maske
Tekstfiler
• Deteksjon
• Observasjon
• Koordinater
• Feilmeldinger