🇳🇴 🇬🇧 🇩🇪 🇨🇿 🇫🇮

Meteor, poloha: Løsning 2020-08-18 00:23:24 UTC

Soubor KML  |  InteraktivnĂ­ mapa

Mapa zobrazuje dráhy meteoru. Světlejší čáry ukazují směry od pozorovacích stanic při objevení se meteoru a tmavší čáry, kde byl naposledy viděn. Modrá šipka značí viditelnou dráhu meteoru.

static map
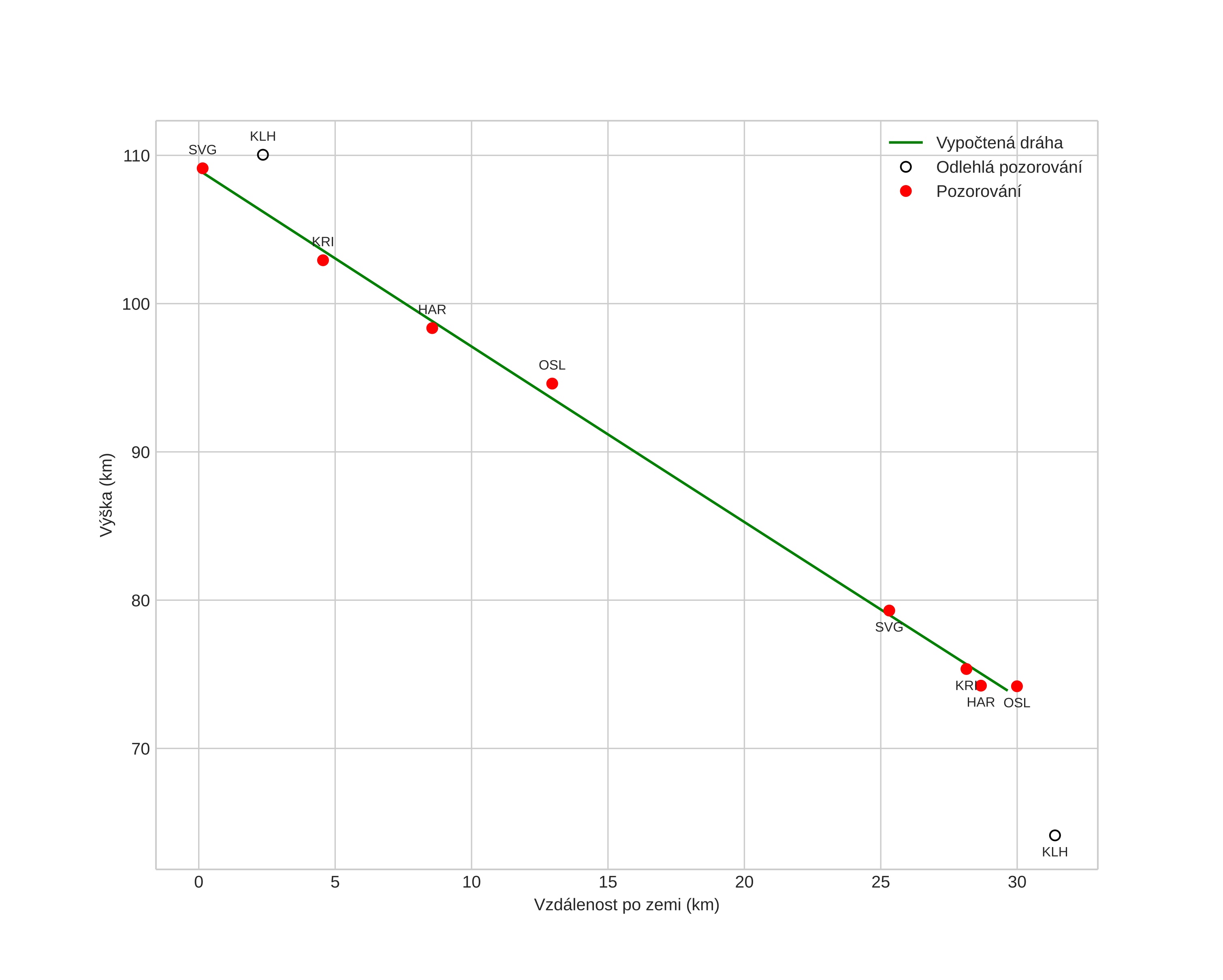
height profile
Atmosférická dráha meteoru:
Počáteční výška: 104,9 km
Konečná výška: 76,8 km
Počáteční poloha: 55,937N 10,030E
Konečná poloha: 55,799N 9,735E
Směr: 230,3°
Sklon: 49,6°
VstupnĂ­ rychlost: 59,9 km/s
Rektascenze radiantu: 04:12 (63,1°)
Deklinace radiantu: 59,5°
MeteorickĂ˝ roj: Perseidy
Elementy dráhy meteoroidu:
Vzdálenost v periheliu: 0,893 AU
Excentricita: 0,947
Sklon dráhy: 112,5°
Délka vzestupného uzlu: 145,3°
Argument perihelia: 139,3°
Střední anomálie: 0,4°
Epocha: 2020 AUG 18 00:23:24
orbit plot

NeinteraktivnĂ­ graf | InteraktivnĂ­ graf

position vs time
speed and acceleration